PDF  PubReader

컨베이어 벨트 타입 전기방사기를 통해 제조된 TEOS/PVP 실리카 나노-웹의 형태학적, 열적 특성

서준형 , 임희수 , 박명진 , 정인수 , 이준헌 , 은종현

컨베이어 벨트 타입 전기방사기를 통해 제조된 TEOS/PVP 실리카 나노-웹의 형태학적, 열적 특성

Morphological and Thermal Properties of TEOS/PVP Silica Nano-web Fabricated Using a Conveyor Belt-Type Electrospinning System

Junhyeong Seo, Heesoo Lim, Myeongjin Park, Insoo Jeong, Junheon Lee, Jonghyun Eun

Abstract: Fine dust is a primary cause of air pollution, and to prevent this issue, silica web filters have been utilized to measure fine dust. The fabrication of these silica web filters involves wet-laid nonwoven methods and electrospinning techniques. However, when tetraethyl orthosilicate (TEOS)/polyvinylpyrrolidone (PVP) silica nano-webs are manufactured using these methods, limitations arise in terms of productivity due to the batch-based process and the implementation of continuous fibers. In particular, the wet-laid nonwoven method has a drawback in that it cannot control the pore size, which determines the filter's performance. Therefore, this study aimed to address issues related to pore size control and product scalability by manufacturing TEOS/PVP silica nano-web using a newly conceptualized conveyor belt-type electrospinning apparatus. During the preparation of the TEOS/ PVP solution, stirring for more than three hours facilitated hydrolysis and condensation reactions. It was observed that nanofibers with diameters ranging from approximately 100 nm to 1000 nm were formed successfully when the TEOS content was 13 wt.%, 18 wt.%, and 24 wt.%. Also, the formation of bead varies depending on the viscosity of the solution and the degree of hydrolysis and condensation reactions. Silica nanowebs produced with the lowest TEOS content of 8 wt.% failed to form continuous fibers and were instead deposited as powder on the belt. Conversely, silica nanowebs produced with the highest TEOS content of 30 wt.% exhibited beads along with fibers within the web structure due to the high viscosity of the TEOS/PVP spinning solution. The thermal properties and morphological properties of the silica nanowebs were analyzed using differential scanning calorimetry (DSC), thermogravimetric analysis (TGA), scanning electron microscope (SEM), and optical microscope (OM). It was observed that the silica nanowebs exhibited excellent thermal properties and morphological properties reflecting the inherent characteristics of silica fibers.

Keywords: tetraethyl orthosilicate (TEOS) , polyvinylpyrrolidone (PVP) , conveyor belt-type elec- trospinning , silica nano-web , morphology

1. 서 론

대기 오염 측정 및 공기의 질과 관련된 환경적인 문제는 지속적으로 세계적인 관심을 받고 있다. 다양한 분야의 산업이 발전함에 따라 사회는 오염 물질과 공기 중 미세먼지에 대한 노출로 심혈관질환, 폐암 발생 등 사람의 건강 문제에 직면해 있다. 특히, 산업용 보일러나 공장에서 발생하는 미세 먼지는 호흡 시 흡입하면 폐에 깊이 침투하여 급성 또는 만성적인 호흡기 질환을 야기하기 때문에 이러한 미세 먼지의 대기로의 유입을 차단하기 위하여 미세 먼지 발생 여부를 측정하는 산업용 필터의 개발에 대한 중요성이 대두되고 있다[14]. 산업 현장 또는 공장에서 발생하는 미세 먼지를 효과적으로 여과하려면, 미세 먼지 포집 효율이 좋은 필터가 필요하다. 또한, 비교적 높은 열을 발산하는 산업 현장에서 미세 먼지 측정에 활용되는 산업용 필터는 고온 환경에서 성능 저하를 유발하기 때문에 내열 성능이 우수한 실리카 재료를 사용해서 제조해야 한다[3]. 이러한 산업용 실리카 필터는 마이크로 스케일의 Chopped 실리카 펄프를 통해 습식 부직포 방법으로 제조하거나, tetraethyl orthosilicate (TEOS)/polyvinylpyrrolidone (PVP) 용액을 통한 솔-겔 전기방사를 통해 나노-웹 형태로 제조하며, 나노-웹의 미세 공극에 의한 우수한 필터 성능, 실리카 재료 고유의 특성이 잘 발현된 내열 성능, 형태안정성 특성 때문에 산업용 필터 분야에서 많은 주목을 받고 있다[5-9].

Bramanti 등은 TEOS/PVP 용액에 대한 전기방사 과정이 실리카 입자가 더 큰 클러스터로 응집되기 전에 PVP 분자에 둘러싸이도록 형성되는 것을 촉진하는 것으로 보이며, TEOS의 비율이 더 높아지면 TEOS는 물이 풍부한 더 큰 실리카 구조를 형성하고, 이러한 구조는 PVP와 표면을 통해 상호작용 한다는 사실을 밝혔다[7].

Frontera 등은 PVP/TEOS 용액에 대한 전기방사를 수행하였으며, TEOS의 첨가는 PVP의 원래 물 친화성을 감소시키는 것으로 나타났지만, TEOS 농도가 5−13 wt.% 범위인 하이브리드 섬유는 상업용 실리카 겔과 유사한 흡착 특성과 단기 열적 안정성을 보인다는 것을 밝혔다[2].

Newsome과 Olesik은 PVP 용액에 분산된 순수 실리카 나노 입자를 사용하여 SiO2/PVP 복합 나노 섬유를 제조하는 최적화된 전기방사를 수행하였으며, 최소 직경의 섬유를 생성하기 위해 최적화된 전기방사 조건으로 평균 직경이 380 nm이고 나노 복합체에서 실리카가 57 wt.%로 높은 최종 농도를 가지는 SiO2/PVP 나노 섬유를 획득했다. 또한, [TeX:] $$465^{\circ} \mathrm{C}$$에서 SiO2/PVP 나노 섬유를 소성하면 복합 나노 섬유 매트에서 대부분의 PVP를 선택적으로 제거할 수 있다는 사실을 제시했고, 소성된 용매 저항 나노 섬유는 7.719%의 PVP와 92.281%의 SiO2로 구성되었으며, 평균 직경은 300 nm임을 관찰하여, 소성된 나노 섬유의 높은 표면적 대부피비와 용매 저항성을 통해 고효율 흡착제 및 센서로의 사용성을 제고했다[10].

전기방사를 통해 제조한 PVP/TEOS 실리카 나노-웹의 많은 관심과 장점에도 불구하고, 종래의 전기방사법을 통해 제작한 TEOS/PVP 실리카 나노-웹은, 배치식 공정으로 인한 생산성 한계와 연속 섬유 구현의 어려움이 있으며 그것을 극복하는 것이 중요한 이슈이다[1012].

따라서, 본 연구에서는 공극 크기 제어와 제품의 대량 생산 문제를 해결하기 위해 새롭게 고안된 컨베이어 벨트 타입 전기방사기를 사용하여 연속성 있는 TEOS/PVP 실리카 나노-웹 제조 최적화에 대해서 연구하였다. TEOS/PVP 용액의 준비 과정에서 3시간 이상의 교반이 가수분해 및 축합 반응을 촉진하는 데 기여했다. TEOS 함량이 13 wt.%, 18 wt.%, 24 wt.%일 때, 약 100 nm에서 1000 nm 사이의 직경을 가진 실리카 나노 웹이 형성되는 것을 했고, TEOS 함량이 가장 낮은 8 wt.% 용액을 사용하여 제조된 실리카 나노-웹은 연속적인 섬유를 형성하지 못하고 벨트 위에 파우더 형태로 방사되었다. 반면에, TEOS 함량이 가장 높은 30 wt.% 용액으로 제조된 실리카 나노-웹에서는 웹 내부에 섬유와 함께 비드가 형성되는 것을 관찰했다. 실리카 나노-웹의 열적 특성은 시차주사열량계(DSC)와 열중량분석기(TGA)를 통해 분석되었으며, 실리카 섬유 고유의 특성에 따라 우수한 열적 특성을 나타내는 것을 확인했다.

2. 실 험

2.1. 재 료

컨베이어 벨트 타입 전기방사기를 통해 제조된 TEOS/PVP 실리카 나노-웹의 제조는 폴리비닐피롤리돈, polyvinylpyrrolidone (PVP, Duksan, F.W. Avg. 40,000, South Korea), 테트라에틸 오르토실리케이트, tetraethyl orthosilicate (TEOS, Daejung, > 98.5%, 0.930−0.939, South Korea), 에탄올, ethyl alcohol (EA, Sigma Aldrich, > 99.5% United States)을 통해 제조했다.

Table 1.

Specimen code for the TEOS/PVP silica nano-web with various weight percent of the TEOS/contents and stirring time with 1hr, the PVP content is fixed at 30 wt.% for all specimens
Stirring time (hr) TEOS (wt%) Specimen code
1 8 1TP-8
13 1TP-13
18 1TP-18
24 1TP-24
30 1TP-30
3 8 3TP-8
13 3TP-13
18 3TP-18
24 3TP-24
30 3TP-30
5 8 5TP-8
13 5TP-13
18 5TP-18
24 5TP-24
30 z5TP-30
2.2. 컨베이어 벨트 타입 전기방사기를 위한 TEOS/PVP 용액 준비

폴리비닐피롤리돈(PVP) 1.5 g와 에탄올 5 g을 핫플레이트(MSH-20D, DAIHAN Scientific Co., Ltd., Korea)를 사용하여 [TeX:] $$25^{\circ} \mathrm{C}$$, 200 rpm에서 30분 동안 교반하여 TEOS를 위한 용매를 준비했다. 준비된 용액에 TEOS를 각각 0 wt.%, 8 wt.%, 13 wt.%, 18 wt.%, 24 wt.%, 그리고 30 wt.%를 첨가한 뒤 핫플레이트를 사용하여 교반하였으며, 교반 시간을 1 hr, 3 hr, 그리고 5 hr로 설정하여 TEOS/PVP 실리카 나노-웹 제조를 위한 방사 용액을 준비했다. Table 1은 TEOS 함량과 교반 시간에 따른 실리카 나노-웹 샘플의 코드를 나타낸 것이다. 모든 샘플에서 PVP과 에탄올의 함량은 30 wt.%와 5 g으로 동일하다.

2.3. TEOS 함량과 교반 시간을 가진 TEOS/PVP 실리카 나노 웹의 컨베이어 벨트형 전기방사 공정

Figure 1은 컨베이어 벨트 타입 전기방사기의 개략도와 사진을 나타낸 것이다. 준비된 TEOS/PVP 용액은 자체적으로 설계된 컨베이어 벨트 타입 전기방사기(UL Chemical Co., South Korea)를 사용하여 제조했다. 전기방사는 방사 거리 10 cm, 방사 속도 1.2 ml/hr, 인가 전압 15 kV, 상대 습도 30%, 상온 및 50 gauge 노즐 조건에서 수행되었다.

Figure 1.

(a) A schematic diagram of the conveyor belt-type electrospinning system, (b) a photo of the formation of TEOS/PVP silica nano-web, (c) a photo of the conveyor belt-type electrospinning system, and (d) photos for TEOS/PVP solution for electro-spinning.
1.png
2.4. 특성 분석

TEOS/PVP 실리카 나노-웹의 형태학적 분석(OM, SEM): 컨베이어 벨트 타입 전기방사기를 통해 제조된 TEOS/PVP 실리카 나노-웹의 형태는 주사전자현미경(SEM, S-4100, Hitachi, Ltd., Japan)과 광학현미경(OM, Korea) 사용하여 분석했다. 주사전자현미경 측정 전에 TEOS/PVP 실리카 나노-웹은 플래티넘으로 코팅했다.

TEOS 함량과 교반 시간에 따른 TEOS/PVP 실리카 나노 웹의 열적 특성: 열중량분석(TGA, Q500, TA Instruments, United States)은 다양한 TEOS 함량을 가진 TEOS/PVP 실리카 나노-웹의 열적 특성을 측정하기 위해 수행했다. 승온 속도는 질소 분위기에서 [TeX:] $$10^{\circ} \mathrm{C} / \mathrm{min}$$으로 설정했으며, 분석 온도 범위는 실온부터 [TeX:] $$900^{\circ} \mathrm{C}$$까지로 설정했다.

다양한 TEOS 함량을 가진 TEOS/PVP 실리카 나노-웹의 용융점은 시차주사열량계(DSC, Diamond DSC, Perkin Elmer, Inc., United States)를 사용하여 했다. 승온 속도는 [TeX:] $$10^{\circ} \mathrm{C} / \mathrm{min}$$으로 진행되었으며, 분석 온도 범위는 [TeX:] $$40^{\circ} \mathrm{C}-400^{\circ} \mathrm{C}$$ 사이로 설정했다.

TEOS 함량에 따른 용액의 점도 측정: 점도계(Brookfield DV3T, United States) 를 통해 다양한 TEOS 함량을 가진 TEOS/PVP 실리카 용액의 점도를 측정하였다. 측정 조건은 온도 분위기 [TeX:] $$38.3^{\circ} \mathrm{C}$$에서 SC4 28/14R 스핀들을 200 RPM으로 설정하였다.

3. 결과 및 고찰

3.1. 컨베이어 벨트 타입 전기방사기를 통해 제조된 TEOS/PVP 실리카 나노-웹의 형태학적 분석과 형성 메커니즘

산업용 측정 필터를 성공적으로 제작하기 위하여 TEOS/PVP 용액을 통해 전기방사를 수행하였으며, TEOS의 함량과 교반시간이 TEOS/PVP 실리카 나노-웹을 형성하는데 중요한 실험 인자인 것을 확인하였다. 이에 따라 우리는 TEOS의 함량을 8 wt.%, 13 wt.%, 18 wt.%, 24 wt.%, 30 wt.%로 다르게 조절하였으며, 교반시간을 각각 1시간, 3시간, 5시간으로 설정하여 실험을 진행하였다[1315]. Figure 2는 TEOS의 함량 및 교반 시간에 따른 TEOS/PVP 실리카 나노-웹의 형태학적 분석을 하기 위하여 촬영한 사진을 나타낸 것으로, TEOS/PVP 용액을 1시간 교반하여 전기방사를 수행하면 TEOS의 함량에 관계없이 실리카 나노-웹을 형성하지 못하고 powder 형태를 띄는 것을 관찰하였으며 산업용 측정 필터로써의 기능을 할 수 없다. TEOS/PVP 용액을 3시간 동안 교반하여 전기방사를 수행하면, 13 wt.%, 18 wt.%, 24 wt.%의 TEOS 함량을 갖는 용액에 대해 성공적으로 실리카 나노-웹이 형성되는 것을 확인하였으며, TEOS/PVP 용액을 5시간 동안 교반하여 전기방사를 수행했을 때도 마찬가지고 13 wt.%, 18 wt.%, 24 wt.%의 TEOS 함량을 갖는 용액에 대해 성공적으로 실리카 나노-웹이 형성되는 것을 확인하였다[16]. 이렇게 성공적으로 형성된 TEOS/PVP 실리카 나노-웹의 형태를 좀 더 자세히 관찰하기 위하여 광학현미경을 통해 morphology를 분석하였다. Figure 3은 TEOS 함량이 18 wt.% 및 24 wt.%인 용액에서 5시간 동안 교반하여 제조된 전기방사된 TEOS/PVP 나노-웹의 광학 현미경 이미지를 나타낸 것으로, 18 wt.%의 TEOS 함량을 갖는 용액을 통해 제조한 TEOS/PVP 실리카 나노-웹의 형태는 섬유들이 어떠한 비드없이 고르게 잘 분포되어 있는 것을 확인할 수 있있었고, 안정적인 TEOS/PVP 실리카 나노-웹의 network structure가 관찰되었다[68]. 반면에, 24 wt.%의 TEOS 함량을 갖는 용액을 통해 제조한 TEOS/PVP 실리카 나노-웹의 형태를 보면, 나노-웹의 network를 관찰 할 수 있지만, 국부적으로 비드들이 나노-웹 내부에 분포되어 있는 것을 확인할 수 있으며, 이는 전기방사되는 과정 동안에 TEOS의 높은 함량(i.e., 24 wt.%) 때문에 TEOS/PVP 용액의 점도가 상승하게 되었고, 그로 인해 시린지에서 형성된 일부분의 비드가 나노-웹을 형성하지못하고 컨베이어 벨트 쪽으로 전달된 것이다[1719]. 따라서, TEOS/PVP 용액의 높은 점도는 안정적인 실리카 나노-웹을 형성하는데 방해된다는 사실을 추론할 수 있다. 육안으로 관찰한 샘플의 형태와 광학현미경을 통해 관찰한 샘플의 형태를 좀 더 자세히 분석하기 위하여 주사 전자 현미경(SEM)를 촬영하였다. Figure 4(a)-(c)은 TEOS 함량이 18 wt.%인 용액으로부터 제조된 전기방사 TEOS/PVP 실리카 나노-웹의 SEM 이미지로, 교반시간이 1시간, 3시간, 5시간인 것을 나타낸 것이다. TEOS/PVP(TEOS 18 wt.% 첨가) 용액을 1시간 교반하여 전기방사를 수행한 TEOS/PVP 실리카 나노-웹의 형태를 보면, 충분하지 못한 교반 시간으로 인해 나노-웹의 network를 형성하지 못하고 powder의 형태로 남아있는 반면, TEOS/PVP (TEOS 18 wt.% 첨가) 용액을 3시간, 5시간 교반하여 전기방사를 수행한 TEOS/PVP 실리카 나노-웹의 형태를 보면, 나노-웹이 network를 잘 형성하고 있는 것을 관찰할 수 있으며, 5시간 이상 교반을 진행한 샘플의 경우, 비드의 존재없이 안정적인 nano-fiber network 형태를 나타냈다[2022]. 5시간 이상 교반한 TEOS/PVP 용액으로 제조한 실리카 나노-웹의 형태가 가장 안정적이었기 때문에 TEOS/PVP 용액을 5시간 교반한 시료의 다른 TEOS 함량에 TEOS/PVP 실리카 나노-웹의 형태를 SEM 분석을 통해 관찰하였다[1012]. Figure 4(c)-(e)은 교반 시간 5시간으로 제조된 용액에서 TEOS 함량이 각각 18 wt.%, 24 wt.%, 30 wt.%인 전기방사 TEOS/PVP 실리카 나노-웹의 SEM 이미지를 나타낸 것으로, TEOS 함량이 18 wt.%일 때 가장 안정적인 나노-웹 network가 형성된 것을 확인할 수 있었고, TEOS의 함량이 24 wt.%, 30 wt.%로 증가함에 따라 TEOS/PVP 용액의 점도가 증가하여 전기방사를 수행하는 과정에서 시린지의 끝에 맺힌 비드가 섬유로 형성되지 못하고 컨베이어 벨트 쪽으로 전이되어 나노-웹에서도 여전히 비드의 형태가 많이 관찰된 것을 확인할 수 있었다.

Figure 2.

Photos and optical microscope Images of electro-spun TEOS/PVP nano-web prepared from solutions with TEOS contents of 8 wt.%, 13 wt.%, 18 wt.%, 24 wt.%, 30 wt.% with different stirring time for 1 hour, 3 hours, 5 hours.
2.png

Figure 3.

Optical microscope images of electro-spun TEOS/PVP nano-web prepared from solutions with TEOS contents of 18 wt.% and 24 wt.% stirred for 5 hours.
3.png

Figure 4.

SEM images of electro-spun TEOS/PVP nano-web prepared from solutions with TEOS contents of 18 wt.% with different stirring time for (a) 1 hour, (b) 3 hours, (c) 5 hours and electro-spun TEOS/PVP nano-web prepared from solutions with different TEOS contents of (d) 24 wt.% and (e) 30 wt.% stirred for 5 hours.
4.png

Table 2는 TEOS/PVP 실리카 나노-웹 형성을 위한 전기 방사 용액의 농도 및 교반 시간에 대한 나노 섬유 형성의 성공과 실패 여부를 나타낸 것이다. TEOS/PVP 실리카 나노-웹 제작을 위한 전기방사 용액 제조 시 교반 시간을 3시간 이상, TEOS 함량을 13−24 wt.%의 용액을 통해 전기방사를 수행하면 성공적으로 안정적인 형태와 연속적인 섬유상을 형성할 수 있었다.

Table 2.

Preparation conditions of spinning solution for producing TEOS/PVP silica nano-web and Success and failure condition table
Stirring time TEOS contents
8 wt.% 13 wt.% 18 wt.% 24 wt.% 30 wt.%
1 h F F F F F
3 h F S S S F
5 h F S S S F

TEOS의 함량과 TEOS/PVP 교반시간을 실험 변수로 하여 TEOS/PVP 실리카 나노-웹을 형성했고, 그것에 대한 육안, 광학현미경, SEM 관찰을 통해 획득한 형태학적 분석 결과를 바탕으로 TEOS와 PVP가 반응했을 때, 실리카 나노-웹의 형성 메커니즘을 다음과 같이 나타내었다.

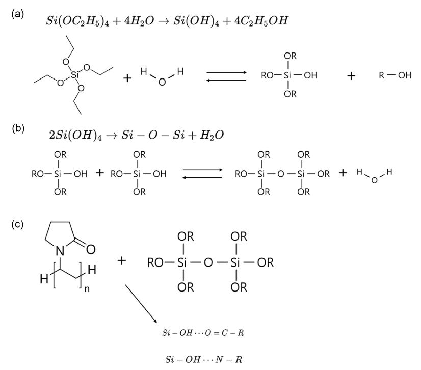
Figure 5는 TEOS와 PVP간의 화학 반응을 통한 TEOS/PVP 실리카 나노-웹 형성 메커니즘의 개략도를 나타낸 것으로, TEOS의 에톡시기(-OEt)가 물 분자에 의해 제거되면서 실란올(Silanol, Si-OH)이 형성된다(Figure 5(a)). 생성된 실란올간의 추가적인 축합반응을 통해 Si-O-Si network를 형성한 후(Figure 5(b)), PVP는 실란올(Si-OH)과의 수소결합을 통해 실리카 network의 형성과 분산성을 제어한다. PVP의 락탐기(C=O 또는 N)와 실란올 간의 수소 결합은 실리카 입자 간 응집을 방지하며, 교반 중 균일한 분산을 유도한다(Figure 5(c))[23]. 따라서, 1시간 동안 교반한 용액으로 제조한 전기방사 용액의 경우, 가수분해 축합반응이 충분히 이루어지지 않아 섬유상 구조를 형성하지 못하였다. 그러나, 3시간 및 5시간 교반했을 때는, TEOS 가수분해 및 축합반응이 진행되어 섬유상을 형성하였으며, 섬유 구조 형성에 큰 차이가 없는 것을 관찰하였다[5,8,10]. 또한, TEOS 함량 변화는 실리카 나노-웹 형성에 심각한 영향을 미친 것을 확인할 수 있었는데, 그 이유로는 1) 충분한 실란올의 형성과 2) 방사 용액의 점도에 의한 것으로 사료된다[24]. TEOS 함량이 18 wt.%일 때 가장 균일한 섬유상이 형성되는 것을 관찰한 반면, TEOS의 함량이 상대적으로 낮은 13 wt.%일 때는 위에서 언급한 가수분해 축합반응에서 충분한 실란올을 생성하지 못했기 때문이라고 여겨진다[25]. TEOS의 함량이 상대적으로 높은 24 wt.%일 때는 비드 구조가 섬유 내부에 분포하고 있는 것을 관찰할 수 있었는데, 이는 전기 방사 시 용액의 점도가 극명하게 높아짐으로 인해 방사 시린지에서 토출될 때 고점도의 용액이 컨베이어 벨트 쪽으로 방사되지 못하고 방사 노즐의 끝부분에서 직경이 높은 비드를 형성한 후 spinning jet에 의해 컨베이어 벨트 쪽으로 이동한 것을 추청할 수 있다[914].

Figure 5.

Schematic diagram of TEOS/PVP silica nano-web formation mechanism by chemical reaction between TEOS and PVP (a) TEOS hydrolysis reaction, (b) condensation reaction, and (c) chemical reaction between PVP and Si-O-Si.
5.png
3.2. TEOS/PVP 실리카 나노-웹의 열적 특성

내열 성능을 요구하는 산업용 필터로의 실리카 나노-웹의 적용 가능성을 확인하기 위하여 DSC와 TGA를 통해 열적 특성을 분석했다.

Figure 6은 최적의 샘플에 대한 열적 특성을 관찰하기 위한 것으로 5TP-18 샘플의 DSC 곡선을 나타낸 것으로, 어떠한 흡열, 발열 peak이 관찰되지 않았으며, Tg, Tc, Tm 나타나지 않은 것을 볼 수 있다. 이는, 전기방사를 통해 형성된 TEOS/PVP 실리카 나노-웹의 열적 특성이 우수하다는 것을 나타내는 것으로, PVP의 융점(Tm: [TeX:] $$150^{\circ} \mathrm{C}$$)이 TEOS의 완전한 가수분해 축합 반응으로 인해 사라지고, 열적으로 안정적인 실리카 나노-웹을 형성한다는 것을 추론할 수 있다[7]. TEOS/PVP 실리카 나노-웹의 열적 특성을 좀 더 자세히 관찰하기 위하여 TGA 분석을 수행하였다.

Figure 6.

DSC curve of TEOS/PVP silica nano-web prepared from solutions with TEOS content of 18 wt.% stirred for 5 hours.
6.png

열중량 분석(TGA)은 물질의 내열성을 평가하고, 무기 재료 내에 포함된 고분자의 분해를 확인하는데 매우 간단한 방법임과 동시에 TGA curve를 통해 측정된 재료의 고분자함량을 확인할 수 있다. Figure 7(a)-(b)은 Ar 분위기에서 1시간, 3시간, 5시간 동안 교반한 TEOS 함량이 각각 18 wt.%, 24 wt.%, 30 wt.%인 용액으로부터 제조된 TEOS/PVP 실리카 나노-웹의 TGA curve를 [TeX:] $$25-900^{\circ} \mathrm{C}$$까지 나타낸 것으로 모든 곡선은 두 단계의 열분해 프로파일을 나타내며, 그 중 두 번째 단계가 두드러지게 나타나며 [TeX:] $$370^{\circ} \mathrm{C}$$ 이상에서 시작되는데, 주로 졸-겔(sol-gel) 공정에서 실리카 전구체가 가수분해 및 축합반응을 통해 유기 잔류물(에톡 시기 등) 제거와 실리카 네트워크가 추가 중합이 나타내며 PVP가 [TeX:] $$200^{\circ} \mathrm{C}$$에서 초기 열분해(저분자량 성분 방출) 및 분자 구조변화로 인해 중량감소가 관찰되었다고 추정된다. 첫번째 열분해 온도는 약 [TeX:] $$200^{\circ} \mathrm{C}$$ 부근에서 시작되는데, 주로 유기 잔류물의 제거와 실리카 네트워크위 추가 중합 때문이다. 두번째 열분해 온도는 [TeX:] $$370^{\circ} \mathrm{C}$$이상의 온도에서 극명하게 나타났는데, 특히 [TeX:] $$381-475^{\circ} \mathrm{C}$$ 사이에서 급격한 중량 손실이 관찰되었다. 이는 PVP의 열분해가 최대 온도에 도달했음을 시사하며, 이 열적 사건은 실리카 매트릭스 내의 유기 고분자(PVP)의 중량 손실을 나타낸 것이다[1]. 5TP-18을 제외한 모든 샘플에서 [TeX:] $$40^{\circ} \mathrm{C}$$에서 [TeX:] $$94^{\circ} \mathrm{C}$$ 사이의 낮은 중량 감소가 관찰되는데, 이는 일반적으로 자유롭게 흡착된 물과 에탄올 분자의 손실에 의해 발생한 것으로 추정된다. TEOS의 함량을 18 wt.% 첨가한 1TP-18, 3TP-18, 5TP-18 샘플의 TGA curves를 보면, 교반 시간 높은 방사 용액으로 제조한 TEOS/PVP 실리카 나노-웹의 잔류 중량이 점차적으로 높은 것을 [TeX:] $$210-370^{\circ} \mathrm{C}$$ 사이의 온도 구간에서 잔류 중량 비교를 통해 확인할 수 있었는데, 이는 적정한 농도의 방사용액으로 전기방사를 했을 때 성공적인 TEOS/PVP 실리카 나노-웹을 형성할 수 있다는 점을 시사한다. 1TP-18의 경우, 3TP-18, 5TP-18과 비교했을 때, 약 48% 정도로 현저히 낮은 잔류 중량 값을 나타내는데, 이러한 현상은 짧은 교반 시간으로 인해 가수분해 축합 반응이 충분히 일어나지 않아 TEOS/PVP 실리카 나노-웹 내부에 유기물인 PVP가 존재하기 때문이라 추정된다. 반면에, 3TP-18, 5TP-18의 경우, 210−370 °C 사이의 온도 구간에서 비교적 높은 약 68%, 71% 정도의 잔류 중량 값을 보였는데, 이는 적정한 TEOS의 농도 및 점도와 교반 시간이 TEOS/PVP 실리카 나노-웹을 형성하기 위한 충분한 가수분해 축합 반응이 일어난 것을 나타낸다. 5TP-18 샘플의 방사성에 대한 좀 더 정확한 척도를 확인하기 위하여 점도계를 통해 방사 용액의 점도를 측정하였고, 그 결과를 Table 3에 정리하였다. 방사시 15cp의 점도 값이 실리카 나노-웹 형성에 긍정적인 영향을 미쳤다. TEOS의 함량이 24 wt.%, 30 wt.%으로 높은 방사용액을 통해 전기방사한 TEOS/PVP 실리카 나노-웹의 TGA 곡선의 경우, 잔류 중량이 약 59%, 55% 정도가 되는 것을 확인하였는데, 이는 고점도의 방사 용액에 의한 비드 구조 때문이다. 열분해가 완전히 일어난 [TeX:] $$475^{\circ} \mathrm{C}$$ 이상의 온도에서는 모든 샘플들의 잔류 중량에 큰 변화가 없었다. 따라서 적정한 TEOS의 함량(i.e. 18 wt.%)과 교반 시간(i.e. 3 hr, 5 hr)의 방사 용액을 통해 컨베이어 벨트 타입의 전기방사기로 방사를 했을 때, 열적으로 상당히 안정적인 TEOS/PVP 실리카 나노-웹을 형성할 수 있다는 것을 관찰하였다[2]. 이러한 현상은 전기 방사 시 적정한 용액의 점도와 충분한 가수분해 축합 반응에 기인한 것이며, 실리카 매트릭스와 PVP 간의 다양한 비공유 결합 및 수소 결합 상호작용으로 인해 졸-겔 합성 동안 형성된 하이브리드 물질 구조가 안정하게 되는 결과로 추론할 수 있다.

Table 3.

Viscosity measurement results of TEOS/PVP solution with 18 wt.% TEOS after stirring 5 times
Time (s) Viscosity (cp) Torque (%) Speed (RPM) Temperature ([TeX:] $$^{\circ} \mathrm{C}$$)
300 15 0.9 200 38.3

Figure 7.

(a) TGA curves of TEOS/PVP silica nano-web prepared from solutions with different TEOS contents of 18 wt.%, 24 wt.% and 30 wt.% stirred for 1, 3, 5 hours and (b) TGA curves of TEOS/PVP silica nano-web prepared from solutions with different TEOS contents of 18 wt.% stirred for 1 and 5 hours.
7.png

4. 결 론

본 연구는 새롭게 개념화된 컨베이어 벨트형 전기방사 장치를 사용하여 TEOS/PVP 실리카 나노-웹을 제조함으로써 공극 크기 제어 및 제품 생산성 문제를 해결하고자 했다. TEOS/PVP 용액 준비 과정에서 3시간 이상 교반을 통해 가수분해 및 축합 반응이 촉진되었다. TEOS 함량이 13 wt.%, 18 wt.%, 24 wt.%일 때, 직경이 약 100 nm에서 1000 nm 범위에 해당하는 나노 섬유가 성공적으로 형성됨을 관찰하였다. 반면, TEOS 함량이 가장 낮은 8 wt.%로 제조된 실리카 나노-웹은 연속 섬유를 형성하지 못하고 벨트 위에 분말 형태로 침착되었다. TEOS 함량이 가장 높은 30 wt.%로 제조된 실리카 나노 웹은 TEOS/PVP 방사 용액의 높은 점도로 인해 섬유와 함께 비드(bead)가 웹 구조 내에 형성했다. 실리카 나노-웹의 열적 특성은 차분 주사 열량 측정(DSC) 및 열중량 분석(TGA)을 통해 분석했다. 분석 결과, 실리카 나노 웹은 실리카 섬유의 고유 특성을 반영하여 우수한 열적 특성을 나타냄을 확인하였다.

감사의 글

Following are results of a study on the “Leaders in Industry-university Cooperation 3.0” Project (202401650001), supported by the Ministry of Education and National Research Foundation of Korea.

References

  • 1 T. Nguyen, T. Han, J. Park, and J. Kim, "Microstructural and Mechanical Properties of Cement Blended with TEOS/PVP Nanofibers Containing CNTs" , Appl. Sci., 2023, 13, 714.custom:[[[-]]]
  • 2 P. Frontera, M. Kumita, A. Malara, J. Nishizawa, and L. Bonaccorsi, "Manufacturing and Assessment of Electrospun PVP/TEOS Microfibres for Adsorptive Heat Transformers", Coatings, 2019, 9, 443.custom:[[[-]]]
  • 3 T. Nguyen, D. Nguyen, and J. Kim, "Effect of Electrospun Nanofiber Additive on Selected Mechanical Properties of Hardened Cement Paste" , Appl. Sci., 2020, 10, 7504.custom:[[[-]]]
  • 4 M. Shahhosseininia, S. Bazgir, and M. D. Joupari, "Fabrication and Investigation of Silica Nanofibers via Electrospinning", Mater. Sci. Eng. C., 2018, 91, 502−511.custom:[[[-]]]
  • 5 H. Wang, Q. Wu, D. Cao, X. Lu, J. Wang, M. K. H. Leung, S. Cheng, L. Lu, and C. Niu, "Synthesis of SnSb-embedded Carbon-silica Fibers via Electrospinning: Effect of TEOS on Structural Evolutions and Electrochemical Properties" , Mater. Today Energy, 2016, 1−2, 24−32.custom:[[[-]]]
  • 6 B. N. Tepekiran, M. D. Calisir, Y . Polat, Y . Akgul, and A. Kilic, "Centrifugally Spun Silica (SiO 2 ) Nanofibers for High- temperature Air Filtration" , Aerosol Sci. Technol., 2019, 53, 921− 932.custom:[[[-]]]
  • 7 E. Bramanti, L. Bonaccorsi, B. Campanella, C. Ferrari, A. Malara, and A. Freni, "Structural Characterization of Electrospun Tetraethylortosilicate (TEOS)/Polyvinylpyrrolidone (PVP) Microfibres" , Mater. Chem. Phys., 2022, 287, 126248.custom:[[[-]]]
  • 8 M. Nagrath, A. Alhalawani, A. R. Yazdi, and M. R. Towler, "Bioactive Glass Fiber Fabrication via a Combination of Sol- gel Process with Electro-spinning Technique" , Mater. Sci. Eng. C., 2019, 101, 521−538.custom:[[[-]]]
  • 9 A. Timin, E. Rumyantsev, S. N. Lanin, S. A. Rychkova, S. S. Guseynov, A. V. Solomonov, and E. V. Antina, "Preparation and Surface Properties of Mesoporous Silica Particles Modified with Poly(N-vinyl-2-pyrrolidone) as a Potential Adsorbent for Bilirubin Removal" , Mater. Chem. Phys., 2014, 147, 673−683.custom:[[[-]]]
  • 10 T. E. Newsome and S. V. Olesik, "Electrospinning Silica/ polyvinylpyrrolidone Composite Nanofibers", J. Appl. Polym. Sci., 2014, 131, 40966.custom:[[[-]]]
  • 11 M. D. Calisir and A. Kilic, "A Comparative Study on SiO 2 Nanofiber Production via Two Novel Non-electrospinning Methods: Centrifugal Spinning vs Solution Blowing", Mater. Lett., 2020, 258, 126751.custom:[[[-]]]
  • 12 L. Shen, Y. Yao, T. Wang, L. Jia, and S. Chen, "Synthesis and Microstructure of Silica Nanotubes via a Coaxial Electrospinning Route" , IOP Conf. Ser.: Mater. Sci. Eng., 2018, 439, 022017.custom:[[[-]]]
  • 13 X. G. Zhao, E. M. Jin, J. Y. Park, and H. B. Gu, "Hybrid Polymer Electrolyte Composite with SiO 2 Nanofiber Filler for Solid-state Dye-sensitized Solar Cells" , Compos. Sci. Technol., 2014, 103, 100−105.custom:[[[-]]]
  • 14 C. K. Chan, I. M. Chu, C. F. Ou, and Y. W. Lin, "Interfacial Interactions and Their Influence to Phase Behavior in Poly(vinyl pyrrolidone)/silica Hybrid Materials Prepared by Sol-gel Process" , Mater. Lett., 2004, 58, 2243-2247.custom:[[[-]]]
  • 15 U. Abdillah, H. Y azid, S. Ahmad, N. Makhtar, S. Zaubidah, R. S. Chen, and N. H. Syifa, "The Effect of V arious Electrospinning Parameter and Sol-gel Concentration on Morphology of Silica and Titania Nanofibers" , IOP Conf. Ser.: Mater. Sci. Eng., 2022, 1231, 012012.custom:[[[-]]]
  • 16 W. Wang, J. Zhou, S. Zhang, J. Song, H. Duan, M. Zhou, C. Gong, Z. Bao, B. Lu, X. Li, W. Lan, and E. Xie, "A Novel Method to Fabricate Silica Nanotubes Based on Phase Separation Effect" , J. Mater. Chem., 2010, 20, 9068−9072.custom:[[[-]]]
  • 17 X. Li, C. Shao, and Y. Liu, " A Simple Method for Controllable Preparation of Polymer Nanotubes via a Single Capillary Electrospinning" , Langmuir, 2007, 23, 10920−10923.custom:[[[-]]]
  • 18 N. Lu, L. Y an, Y . Ma, H. Sun, Z. Zhu, W . Liang, J. Li, and A. Li, "Electrospun Modified SiO 2 Nanofiber Membranes as Superamphiphobic Self-Cleaning Filters with High Heat Stability for Efficient Particle Matter Capture" , ACS Appl. Nano Mater., 2022, 5, 9871−9881.custom:[[[-]]]
  • 19 Y. Zhao, H. Wang, X. Lu, X. Li, Y. Yang, and C. Wang, "Fabrication of Refining Mesoporous Silica Nanofibers via Electrospinning" , Mater. Lett., 2008, 62, 143−146.custom:[[[-]]]
  • 20 H. Kang, Y . Zhu, J. Shen, X. Y ang, C. Chen, H. Cao, and C. Li, "Preparation of Silica-sustained Electrospun Polyvinylpyrrolidone fibers with Uniform Mesopores via Oxidative Removal of Template Molecules by H 2 O 2 Treatment", Mater. Res. Bull., 2010, 45, 830−837.custom:[[[-]]]
  • 21 T. Tański, W . Matysiak, Ł. Krzemiński, P . Jarka, K. Gołombek, "Optical Properties of Thin fibrous PVP/SiO 2 Composite Mats Prepared via the Sol-gel and Electrospinning Methods" , Appl. Surf. Sci., 2017, 424, 184−189.custom:[[[-]]]
  • 22 E. Bramanti, L. Bonaccorsi, B. Campanella, C. Ferrari, A. Malara, and A. Freni, "Structural Characterization of Electrospun Tetraethylortosilicate (TEOS)/Polyvinylpyrrolidone (PVP) Microfibres" , Mater. Chem. Phys., 2022, 287, 126248.custom:[[[-]]]
  • 23 W. Matysiak and T. Tański, "Analysis of the Morphology, Structure and Optical Properties of 1D SiO 2 Nanostructures Obtained with Sol-gel and Electrospinning Methods", Appl. Surf. Sci., 2019, 489, 34−43.custom:[[[-]]]
  • 24 M. Calisir and A. Kilic, "A Comparative Study on SiO 2 Nanofiber Production via Two Novel Non-electrospinning Methods: Centrifugal Spinning vs Solution Blowing", Mater . Lett., 2020, 258, 126751.custom:[[[-]]]
  • 25 J. Passaro, P . Russo, A. Bifulco, M. T. De Martino, V . Granata, B. Vitolo, G. Iannace, A. Vecchione, F. Marulo, and F. Branda, "Water Resistant Self-Extinguishing Low Frequency Soundproofing Polyvinylpyrrolidone Based Electrospun Blankets" , Polymers, 2019, 11, 1205.custom:[[[-]]]