PDF  PubReader

PET/Cotton 혼방 섬유 리싸이클을 위한 친환경 수계 탈색 및 PET 해중합(II) - S-type 분산염료와 VS-type 반응성 염료 -

성준규 , 김성현 , 이원준 , 이정진

PET/Cotton 혼방 섬유 리싸이클을 위한 친환경 수계 탈색 및 PET 해중합(II) - S-type 분산염료와 VS-type 반응성 염료 -

Eco-friendly Water-based Decolorization and PET Depolymerization for Effective Recycling of PET/Cotton Blend Fabric (II) - S-type Disperse Dyes and VS-type Reactive Dyes -

Jun Kyu Sung, Sung Hyun Kim, Won Jun Lee, Jung Jin Lee

Abstract: This study aimed to enhance the chemical recycling efficiency of P/C blended fabrics dyed with three S-type disperse dyes and three VS-type reactive dyes. An ecofriendly aqueous decolorization process, employing sodium hydroxide and sodium hydrosulfite with acetone as an additive, was applied to remove the dyes prior to depolymerization. Decolorization tests on fabrics dyed at various concentrations showed that, for orange and red samples, deep-shade fabrics retained some residual color after treatment; however, overall decolorization rates exceeded 96.7%. In contrast, blue samples exhibited lower decolorization rates of 88.7-90.9%, indicating inferior decolorization performance. Depolymerization converted the PET component into terephthalic acid (TPA) monomer, while cotton remained as a solid, enabling fiber separation. The TPA yield of the undyed control sample was 81.7%, but P/C fabrics dyed in medium or deep shades showed a marked decrease to 59.6-66.5%. When dyed samples were decolorized prior to depolymerization, however, yields increased to 77.5-82.7%. These findings demonstrate that the dye removal effectively mitigates the negative effects of dyeing on depolymerization efficiency. This combined decolorization-depolymerization process is expected to be applicable to the recycling of other PET-based composite materials.

Keywords: PET/cotton , recycle , water-based decolorization , depolymerization , TPA , disperse dye , reactive dye

1. 서 론

최근 심각하게 대두되고 있는 환경문제와 기후변화에 대응하기 위해 전 세계적으로 다양한 합의, 규제, 자발적 프로그램 등이 행해지고 있으며, 많은 산업분야에서 제품을 1회 사용하고 폐기하는 기존의 방식을 탈피하고, 지속가능한 순환경제시스템으로 변화하려는 노력을 기울이고 있다. PET(polyethylene terephthalate)는 열가소성 고분자로서 투명하고 가볍고 내구성이 우수한 장점으로 인해 음료수병, 식품용기, 필름, 섬유 등으로 널리 사용되고 있다. 그러나 환경적인 측면에서 폐기시 생분해가 어렵고, 연소시 유해가스가 발생되는 등의 단점이 존재한다. 순환경제형 산업 전환을 위해, 사용한 소재를 리싸이클하는 기술이 개발되고 있으며, PET의 경우 화학적으로 분해하여 단량체를 얻는 화학적 리싸이클 방법을 많이 사용하고 있다[1,2].

PET의 화학적 리싸이클은 해중합(depolymerization)이라고도 부르는데, 해중합에 참여하는 반응물의 종류와 공정에 따라 가수분해법(hydrolysis), 가글리콜분해법(glycolysis), 가메탄올분해법(methanolysis) 등 다양한 방식이 있으며, 각 반응을 통해 TPA(테레프탈산, terephahtalic acid), BHET(bis- hydroxyethyl terephthalate), DMT(dimethyl terephthalate) 등 PET의 원료 단량체를 얻을 수 있다[3]. 그런데, PET가 다른 용도와 달리 폴리에스터 섬유로 사용되는 경우에는 해중합이 쉽지 않다. 섬유제품 제조시 색상을 부여하기 위해 염색공정을 거치기 때문에, 대부분의 폐섬유는 염료를 포함하고 있고, 이 염료가 해중합 반응의 효율을 낮추게 된다. 따라서 PET 섬유의 화학적 리싸이클 공정에서 단량체 생성효율을 높이기 위해서는 염료를 제거하는 탈색과정이 중요하며, 특히 환경친화적인 PET 섬유 탈색을 위해서는 물을 기반으로 한 수계 탈색 기술이 필요하다[4,5].

한편, PET 섬유는 면(cotton), 스판덱스(spandex), 나일론(nylon) 등 다른 섬유와 혼방/복합하여 다양한 용도의 제품으로 적용되고 있다. 그 중 PET/Cotton (P/C) 혼방소재의 리싸이클 관련 기초연구[69]가 시도되었으나, 아직까지 두 성분을 고효율로 분리하거나, 실용적인 리싸이클 공정은 보고되지 않았다. 전보[10]에서는 E-type 분산염료와 이작용성(bifunctional) 반응성염료로 염색한 P/C 혼방소재에 대해, 해중합과정에서 cotton 성분을 분리하고 TPA 수율향상을 위한 수계탈색공정의 효용성을 보고하였다. PET 성분을 염색하는 분산염료는 분자량과 승화성에 따라 E-type(저에너지), SE-type(중에너지), S-type(고에너지) 등으로 분류되며, cotton 성분을 염색하는 반응성염료는 MCT(monochlorotriazine), VS(vinylsulfone), DCT(dichlorotriazine) 등 반응성기의 종류에 따라 분류한다. 염료의 종류에 따라 주로 적용하는 색농도나 견뢰도 특성이 다른 것처럼, 리싸이클 과정에서의 탈색특성도 차이가 있을 수 있기 때문에, 다양한 종류의 염료에 대해서 검증을 하고자 한다. 이 연구는 제2보로서, S-type 분산염료와 VS-type 반응성염료로 P/C 혼방직물을 염색한 다음, 염료의 탈색, PET 성분의 해중합 및 cotton 성분의 분리에 대해 조사하였다. 특히 Stype 분산염료는 진한색(deep shade)으로 염색하는 경우 주로 사용되기 때문에, 중색(medium shade) 뿐만 아니라 진한색으로 염색한 시료의 탈색을 조사하였으며, 가수분해법을 이용한 PET 해중합 반응을 통해 얻어진 TPA의 수율을 분석함으로써, 탈색 및 해중합 공정의 효용성을 검토하였다.

2. 실 험

2.1. 시료 및 시약

염색에 사용된 정련표백된 P/C 혼방직물(65:35, 60×64 tpi, 155 g/m2)을 Test Fabrics로부터 구매하여 사용하였다. 3종의 S-type 분산염료와 3종의 VS-type 반응성염료는 ㈜경인양행에서 제공받았다(Table 1). 탈색 및 해중합 공정을 위해 수산화나트륨(NaOH, 98%, 삼전화학(주)), 차아황산나트륨([TeX:] $$\mathrm{Na}_2 \mathrm{S}_2 \mathrm{O}_4,$$ ≥85%, (주)덕산씨엔피), 아세톤(99.5%, 삼전화학(주)), 에틸렌 글리콜(99.5%, Wako Pure Chemical Co.), 황산(95%, 삼전화학(주)) 등의 시약을 사용하였으며, 해중합 생성물과 비교하기 위해 표준 테레프탈산(TPA, ≥99%, Thermo Fisher Scientific Inc.)을 구매하여 사용하였다.

Table 1.

Classification and chemical structures of disperse and reactive dyes used in this study
Dye Type/Reactive group Commercial name C.I. generic name Structure
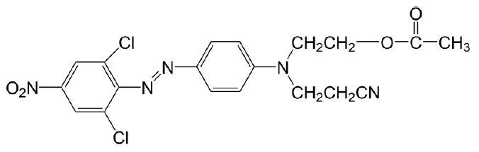
Disperse Orange (Dis_O) S Synolon Yellow Brown S-2RS C.I. Disperse Orange 30 table1.png
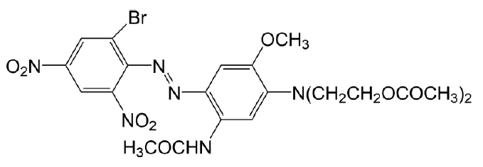
Disperse Red (Dis_R) S Synolon RubineS-GFL 01 C.I. Disperse Red 167:1 table2.png
Disperse Blue (Dis_B) S Synolon Navy Blue S-GLS 01 C.I. Disperse Blue 79:1 table3.png
Reactive Orange (React_O) VS Synozol Ultra Orange DS table4.png
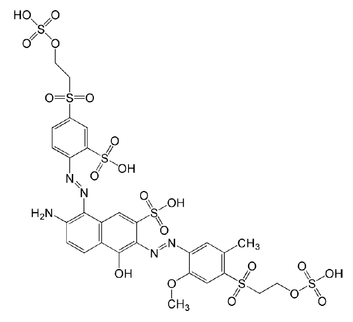
Reactive Red (React_R) VS Synozol Ultra Bordeaux DS table5.png
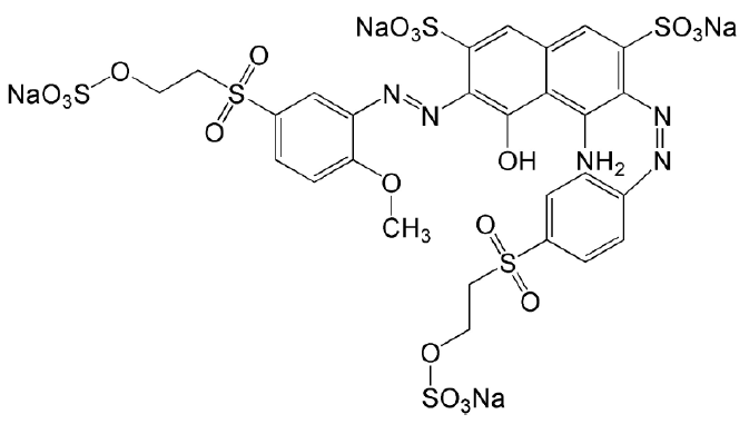
Reactive Blue (React_B) VS Synozol Ultra Navy DS C.I. Reactive Blue 250 table6.png
2.2. 염료 용액의 탈색 및 흡광도 측정

3종의 분산염료를 증류수에 분산시킨 수분산액과 3종의 반응성염료 수용액을 제조한 다음, 탈색 전후 염료용액의 흡광도를 분광광도계(PerkinElmer, Lambda 25)를 사용하여 측정하였다. 이때 분산염료와 반응성염료는 0.1 g/l의 수분 산액과 수용액을 만든 다음, 흡광도가 0.5−2 범위가 되도록 적절히 희석하여 측정하였다.

2.3. P/C 혼방 섬유 염색

실험실용 적외선(IR) 염색기(DaeLim Starlet Co., Ltd.)를 사용하여, 2 g의 P/C 혼방 섬유를 액비 50:1, 분산제 4 g/l, 황산나트륨(Na2SO4, Sodium sulfate) 100 g/l 조건에서 염색하였다(Figure 1(a)). 염료는 Orange, Red, Blue 3가지 색으로 염색하기 위해, 동일한 색상의 분산염료와 반응성염료를 사용하였고, P/C 혼방비율(65:35)에 맞게 각 섬유성분 무게를 기준으로 0.2, 1, 2, 3, 5% o.w.f. 농도로 염액을 제조하였다. [TeX:] $$130^{\circ} \mathrm{C}$$까지 승온하여 1시간 유지하면서 PET 성분염색을 하였으며, 이후 온도를 [TeX:] $$60^{\circ} \mathrm{C}$$로 조절한 다음, 탄산 나트륨(sodium carbonate) 50 g/l을 투입하여 cotton 성분의 반응성염료 염색을 유도하였다. 염색한 원단은 세척 후 건조하였다.

Figure 1.

(a) Dyeing profile of P/C blend fabric and (b) decolorizing profile of P/C blend fabric.
1.png
2.4. 염색시료의 탈색

염색된 P/C 직물은 2.3절의 적외선 염색기를 사용하여, 액비 50:1, 탈색제인 수산화나트륨(NaOH)과 차아황산나트륨 ([TeX:] $$\mathrm{Na}_2 \mathrm{S}_2 \mathrm{O}_4$$) 농도는 각각 10 g/l 조건에서 탈색하였으며, 각 탈색용액에 탈색촉진제인 아세톤 10 ml를 첨가하였다(Figure 1(b)).

염색 및 탈색된 샘플은 측색기(Color Eye 3100, Gretag Macbeth, USA)를 사용하여 광원 D65, 관측시야 [TeX:] $$10^{\circ}$$ 조건에서 각 파장대의 분광반사율과 [TeX:] $$\text { CIE } \mathrm{L}^* \mathrm{a}^* \mathrm{b}^*$$ 값을 측정하였다. 최대 흡수 파장에서의 반사율(R)로부터 겉보기 색농도인 K/S 값을 다음의 Kubelka-Munk 식[11]에 의해 구하였다.

(1)
[TeX:] $$\frac{K}{S}=\frac{(1-R)^2}{2 R}$$

K: 염색 직물의 흡수계수

S: 염색 직물의 산란계수

R: 분광반사율(0<R≤1)

2.5. 탈색률

염색한 P/C 혼방 시료의 탈색 효율을 분석하기 위해, 탈색되지 않은 기존 염색시료를 기준(control)으로 설정하고, 탈색 처리 후 시료와의 색차(ΔE) 값을 비교하였다. 색차 (ΔE)는 2.4절에서 측정한 [TeX:] $$\text { CIE } \mathrm{L}^* \mathrm{a}^* \mathrm{b}^*$$ 값을 다음 식에 대입하여 계산하였다.

(2)
[TeX:] $$\Delta E=\sqrt{\left(L_1^*-L_2^*\right)^2+\left(a_1^*-a_2^*\right)^2+\left(b_1^*-b_2^*\right)^2}$$

[TeX:] $$\mathrm{L}_1^*, \mathrm{a}_1^*, \mathrm{b}_1^*$$: 기준시료의 [TeX:] $$\text { CIE } \mathrm{L}^* \mathrm{a}^* \mathrm{b}^*$$

[TeX:] $$\mathrm{L}_2^*, \mathrm{a}_2^*, \mathrm{b}_2^*$$: 기준시료의 [TeX:] $$\text { CIE } \mathrm{L}^* \mathrm{a}^* \mathrm{b}^*$$

탈색률은 탈색처리 전후 시료의 K/S 값을 이용하여 다음 식에 따라 계산하였다[12].

(3)
[TeX:] $$\% \text { Decolorization efficiency }=\frac{[K / S]_b-[K / S]_a}{[K / S]_b}$$

[TeX:] $$[\mathrm{K} / \mathrm{S}]_{\mathrm{b}}$$: 탈색 전 시료의 K/S 값

[TeX:] $$[\mathrm{K} / \mathrm{S}]_{\mathrm{b}}$$: 탈색 후 시료의 K/S 값

2.6. P/C 해중합

P/C 해중합은 PET 부분을 가수분해(hydrolysis) 방법으로 수행하였다(Scheme 1). 먼저 알칼리 전처리를 위해 증류수 20 ml에 NaOH 10 wt%를 녹인 후, P/C 시료 1.54 g을 1 cm×1 cm 정도 크기로 잘라 상기 액에 투입한 다음, 오일배스(oil bath)에서 [TeX:] $$90^{\circ} \mathrm{C}$$, 600 rpm 조건으로 환류냉각하에 2시간 동안 교반하였다. 이후 에틸렌 글리콜 80 ml와 NaOH 10 wt%(용매기준)를 추가하고 동일한 조건에서 4시간 동안 추가 반응시켰다. 해중합 반응이 종료된 후, 녹지 않고 남아있는 cotton을 분리하고, 용해되지 않은 일부 잔여물을 제거하기 위해 여과하였다. 이후 여과액을 Falcon 튜브에 옮겨 7500 rpm에서 15분간 원심분리한 다음, 상층액은 제거하고, 디소듐 테레프탈레이트(disodium terephthalate) 고체를 얻었다. 일정량의 증류수를 가하여 수용성인 디소듐 테레프탈레이트를 용해시킨 다음, 다시 원심분리하여 불용성 고체를 분리하였다. 디소듐 테레프탈레이트 수용액에 묽은 황산을 첨가하면서 테레프탈산의 침전을 유도하였다. 이후 침전물을 증류수로 3회 세척한 다음, 12시간 이상 건조하여 흰색 분말상의 테레프탈산을 획득하였다.

Scheme 1.

Hydrolytic depolymerization of P/C for separation of cotton fiber and recovery of TPA.
1-1.png
2.7. P/C 해중합 수율

P/C 혼방섬유를 해중합한 결과로 얻어진 테레프탈산(TPA)의 수율은 아래 식을 통해 계산하였다[13]. 이때 해중합 실험을 10회 실시한 결과의 평균값을 계산하여 표시하였다.

(4)
[TeX:] $$\% \text { TPA yield }=\frac{m_{T P A}}{m_{P E T} \times 0.85} \times 100$$

[TeX:] $$\mathrm{m}_{\mathrm{PET}}:$$ 해중합 반응에 사용한 PET 질량(g)

[TeX:] $$\mathrm{m}_{\mathrm{TPA}}:$$ 해중합 반응후 생성된 TPA 질량(g)

2.8. TPA의 HPLC 분석

해중합 생성물인 TPA의 순도를 평가하기 위해 HPLC(High Performance Liquid Chromatography, 고성능액체크로마토 그래피) 분석을 실시하였다. 먼저 증류수 70 ml에 소량의 NaOH를 녹인 후, 표준 TPA 또는 해중합반응으로 얻은 TPA 10 mg을 완전히 용해시킨 다음, 메탄올 30 ml를 가하여 총 부피를 100 ml로 맞추어 100 ppm 농도의 시료용액을 제조하였다. 제조된 시료용액은 별도의 희석 과정 없이 HPLC 분석에 사용하였다. HPLC 분석은 LC-40D HPLC 시스템과 SPD-40 PDA 검출기(Shimadzu, Kyoto, Japan)를 사용하여 수행하였다. 분석에 사용된 컬럼은 SKYPAK C18(2.1×100 mm, 5 μm, SK chemicals)이었으며 컬럼 온도는 [TeX:] $$30^{\circ} \mathrm{C}$$로 유지하였다. 이동상은 A: 증류수 70%, B: 메탄올 30% 조건에서 등용매(isocratic) 방식으로 흘려주었으며, 주입량은 10 μl, 총 분석 시간은 20분이었다. 검출파장은 254 nm에서 측정하였다.

3. 결과 및 고찰

3.1. 분산, 반응성염료 용액의 탈색

염료자체의 탈색특성을 살펴보기 위해, 분산염료 수분산액과 반응성염료 수용액 또는 이들의 혼합액을 탈색제 농도 10 g/l와 Figure 1(b)의 조건으로 탈색한 다음 흡광도 변화를 관찰하였다. Figure 2는 S-type 분산염료의 탈색 전(Dis_O, Dis_R, Dis_B)과 탈색 후(De_O, De_R, De_B)의 흡광도 결과이다. 세 염료 모두 탈색 전에는 가시광선 영역(400−750 nm)에서 흡수피크를 나타내었지만, 탈색처리 후에는 각 염료의 흡수피크가 모두 사라지고 가시광선 전파장 영역의 흡수가 거의 없었으며, 눈으로 관찰하여도 특정색을 띠던 염료용액이 탈색 후 색이 사라짐을 알 수 있었다. Table 1에서 세 분산염료는 모두 아조(azo)계 염료이며, 탈색공정 중 주요 발색단인 아조기(-N=N-)가 환원되면서 2개의 아민기([TeX:] $$-\mathrm{NH}_2$$)로 분해되어 색이 없어지는 것으로 추정된다[14]. Figure 3은 VS-type 반응성염료의 탈색 전(React_O, React_R, React_B)과 탈색 후(De_O, De_R, De_B)의 흡광도 결과이다. 분산염료와 마찬가지로 세 염료 모두 가시광선 영역에서 뚜렷한 흡수피크를 나타낸 반면, 탈색 후에는 흡수피크가 사라지거나 흡광도가 급격히 감소하였다. Table 1에서 세 반응성 염료는 모두 아조(azo)기가 2개 포함된 디스아조(disazo)계 염료이며, 분산염료 탈색과 마찬가지 원리로 탈색공정 중 아조기(-N=N-)들이 분해되어 공액이중결합이 짧아지면서 색이 없어지고, 흡광도가 감소하는 것으로 추정된다. P/C 혼방소재 염색을 위한 염욕을 모사하여, 분산염료와 반응성염료를 혼합한 염료용액을 탈색처리한 흡광도 결과가 Figure 4이다. Figure 2와 3의 결과로부터 예상할 수 있듯이, 탈색 전 염료용액(Dis_React_O, Dis_React_R, Dis_React_B)은 각 색에 맞는 특성 피크를 뚜렷이 나타내었으며, 탈색 후(De_Dis_React_O, De_Dis_React_R, De_Dis_React_B)에는 특성피크들이 모두 사라짐으로써, 수계 탈색조건이 효과적으로 분산염료와 반응성염료의 색을 제거할 수 있음을 알 수 있다. 또한 P/C 혼방섬유의 탈색 공정시 탈색첨가제로 아세톤을 사용하는 것을 모사하여, 탈색제와 함께 아세톤(10 ml)을 첨가하여 혼합염료 용액을 탈색한 경우, 아세톤 미첨가한 경우와 유사한 탈색효과를 나타내었다.

Figure 2.

Absobance of disperse dyeing liquor before and after decolorization with NaOH (10 g/l) and [TeX:] $$\mathrm{Na}_2 \mathrm{S}_2 \mathrm{O}_4$$ (10 g/l); (a) C.I. Disperse Orange 30, (b) C.I. Disperse Red 167:1, and (c) C.I. Disperse Blue 79:1.
2.png

Figure 3.

Absobance of reactive dyeing liquor before and after decolorization with NaOH (10 g/l) and [TeX:] $$\mathrm{Na}_2 \mathrm{S}_2 \mathrm{O}_4$$ (10 g/l); (a) orange reactive dye, (b) red reactive dye, and (c) C.I. Reactive Blue 250.
3.png

Figure 4.

Absobance of mixed dyeing liquor before and after decolorization with NaOH (10 g/l) and [TeX:] $$\mathrm{Na}_2 \mathrm{S}_2 \mathrm{O}_4$$ (10 g/l) with or without acetone (10 ml); (a) C.I. Disperse Orange 30 + orange reactive dye, (b) C.I. Disperse Red 167:1 + red reactive dye, and (c) C.I. Disperse Blue 79:1 + C.I. Reactive Blue 250.
4.png
3.2. P/C 혼방직물의 농도별 염색 및 탈색

일반적으로 연한색(담색) 염색을 위해서는 염료농도를 0.5% o.w.f.이하로 사용하고, 중간색(중색) 염색은 1−2% o.w.f., 진한색(농색) 염색은 3% o.w.f. 이상을 사용한다. 반응성염료는 주로 반응기에 따라 분류되기 때문에 색의 진하기와 염료의 종류와는 크게 관계가 없지만, 분산염료는 실용적으로 담색의 경우 E-type 분산염료를 사용하고, 농색의 경우 S-type 분산염료를 사용한다[15]. 이 연구에 사용된 Stype의 분산염료는 P/C 혼방섬유를 진한색으로 염색하기 위해 사용할 가능성이 크므로, P/C 섬유를 중간색 뿐만 아니라 진한색까지 염색했을 때, 탈색효과를 검토할 필요가 있다. Figure 5는 Orange, Red, Blue 3가지 색상의 분산염료와 반응성염료를 색상별 혼합하여, P/C 혼방직물을 염료농도 0.2, 1, 2, 3, 5% o.w.f.로 염색한 결과다. Orange 색으로 염색한 경우, 염료농도가 증가함에 따라 2% o.w.f.까지는 비교적 선형적으로 표면색농도 K/S 값이 증가하였고, 이후에는 3% 및 5% o.w.f.에서는 K/S 값 증가정도가 완만해졌지만 증가하는 추세가 유지되었다. Red 색으로 염색한 경우는 3% o.w.f.까지 비교적 지속적으로 K/S 값이 증가하여 우수한 빌드업(build-up)성을 나타내었으며, 3가지 색 중 가장 높은 K/S 값을 나타내었다. 5% o.w.f.의 경우에는 3% o.w.f.와 거의 유사한 색농도를 나타내어 3% o.w.f. 정도에서 포화치에 도달한다고 할 수 있다. Blue 색의 경우 1% o.w.f.까지는 Orange 시료와 유사한 K/S 값을 나타내었으나, 2% o.w.f. 이상에서는 색농도가 상대적으로 완만하게 증가하는 경향을 보였으며, 특정 염료농도에서 포화치에 도달하지 않고 5% o.w.f. 농도까지 꾸준히 K/S 값이 증가하였다.

Figure 5.

Effect of dye concentration on K/S values of P/C fabrics dyed with orange, red, and blue dye mixture (disperse dye + reactive dye).
5.png

Figure 5의 농도별, 색상별 P/C 혼방직물 시료들을 Figure 1(b)의 공정조건으로 탈색한 결과가 Table 2−4이다. 이때 적용한 탈색제 농도는 전보에서 P/C 섬유 탈색을 위해 선정한 최적조건인 탈색제 농도 10 g/l, 탈색촉진제 아세톤 10 ml이다. Table 2에서 저농도(0.2% o.w.f)로 염색한 Orange 시료를 탈색한 경우, [TeX:] $$\mathrm{a}^* \text{ 와 } \mathrm{b}^*$$ 값이 0에 가까운 값을 나타내어 무채색이고, 명도값([TeX:] $$\mathrm{L}^*$$)이 89.7로 매우 밝아 흰색에 가까움을 알 수 있다. 또한 탈색 전 시료와 비교하였을 때, 색차는 47.2로 매우 컸으며, 염료가 거의 제거됨에 따라 K/S 값이 0.1 이하로 감소하였고, 탈색률은 97.2%를 나타내었다. 중농도(1% 및 2% o.w.f) 시료를 탈색한 경우 탈색률은 98.5−98.7%로 높았고, 탈색 전 시료와의 색차가 61.0−62.8로 매우 크게 나타나, 상당히 많은 염료가 제거되었음 알 수 있었다. 명도값(85.3−88.2)이 크고 [TeX:] $$\mathrm{a}^*$$ 값은 0에 가까운 편이었으나, [TeX:] $$\mathrm{b}^*$$ 값이 10.9−16.4 정도를 나타내어, 완전한 흰색보다는 연한 베이지색으로 보였다. 농색인 고농도(3% 및 5% o.w.f) 시료를 탈색한 경우, 탈색률은 97.9−98.3%로 중농도 시료의 탈색률에 비해 조금 감소하였으나 여전히 높은 편으로 볼 수 있다. 그러나 [TeX:] $$\mathrm{a}^* \text{ 와 } \mathrm{b}^*$$ 값이 다른 시료들에 비해 더 증가하여 연한 황토색으로 보였다. Table 3의 Red 시료를 탈색한 결과는 Orange 시료와 유사한 경향을 나타내었다. 즉, 저농도 또는 중농도 시료와 비교하였을 때, 진한색으로 염색한 고농도 시료들은 탈색률이 조금씩 감소하여 96.7−97.0% 수준이었고, 탈색 후 K/S 값도 0.7−0.8 수준으로 증가하였으며, 완전히 탈색되지 않고 붉은 계열의 색이 남아있었다. Table 4의 Blue 시료를 탈색한 경우는 Orange 또는 Red 시료에 비해 탈색특성이 좋지 않았다. 즉, 탈색률은 88.7−90.9% 수준이고, 고농도 시료는 탈색 후에도 K/S 값이 1.3−1.5 정도로 작지 않은 값이었으며, 눈으로 보아도 파란색이 남아 있었다.

Table 2.

[TeX:] $$\text { CIE } \mathrm{L}^* \mathrm{a}^* \mathrm{b}^*$$ values, color difference, K/S and decolorization efficiency of orange P/C fabric before and after decolorization
Sample Amount of acetone Concentration of NaOH and [TeX:] $$\mathrm{Na}_2 \mathrm{S}_2 \mathrm{O}_4$$ [TeX:] $$\text { CIE } \mathrm{L}^* \mathrm{a}^* \mathrm{b}^*$$ [TeX:] $$\Delta \mathrm{E}$$a Color strength (K/S) Decolorization efficiency Color change
[TeX:] $$\mathrm{L}^*$$ [TeX:] $$\mathrm{a}^*$$ [TeX:] $$\mathrm{b}^*$$
Dis_Re_O 0.2% o.w.f. x x 67.1 26.7 36.2 - 2.5 table7.png
D_Dis_Re_O 0.2% o.w.f. 10 ml 10 g/l 89.7 -0.6 5.0 47.2 0.07 97.2%
Dis_Re_O 1% o.w.f. x x 54.5 37.6 48.2 - 9.9
D_Dis_Re_O 1% o.w.f. 10 ml 10 g/l 88.2 0.01 10.9 62.8 0.15 98.5%
Dis_Re_O 2% o.w.f. x x 48.0 40.5 47.4 - 15.9
D_Dis_Re_O 2% o.w.f. 10 ml 10 g/l 85.3 3.5 16.4 61.0 0.2 98.7%
Dis_Re_O 3% o.w.f. x x 44.5 44.5 43.9 - 17.9
D_Dis_Re_O 3% o.w.f. 10 ml 10 g/l 84.5 4.1 17.2 62.8 0.3 98.3%
Dis_Re_O 5% o.w.f. x x 40.9 39.7 39.5 - 19.6
D_Dis_Re_O 5% o.w.f. 10 ml 10 g/l 82.0 7.0 18.7 56.5 0.4 97.9%

a ΔE: color difference with a dyed sample (before decolorization).

Table 3.

[TeX:] $$\text { CIE } \mathrm{L}^* \mathrm{a}^* \mathrm{b}^*$$ values, color difference, K/S and decolorization efficiency of red P/C fabric before and after decolorization
Sample Amount of acetone Concentration of NaOH and [TeX:] $$\mathrm{Na}_2 \mathrm{S}_2 \mathrm{O}_4$$ [TeX:] $$\text { CIE } \mathrm{L}^* \mathrm{a}^* \mathrm{b}^*$$ [TeX:] $$\Delta \mathrm{E}$$a Color strength (K/S) Decolorization efficiency Color change
[TeX:] $$\mathrm{L}^*$$ [TeX:] $$\mathrm{a}^*$$ [TeX:] $$\mathrm{b}^*$$
Dis_Re_R 0.2% o.w.f. x x 50.2 41.5 -2.3 - 4.2 table8.png
D_Dis_Re_R 0.2% o.w.f. 10 ml 10 g/l 85.9 7.1 1.0 49.7 0.1 97.6%
Dis_Re_R 1% o.w.f. x x 34.7 45.3 6.5 - 15.9
D_Dis_Re_R 1% o.w.f. 10 ml 10 g/l 78.8 15.6 5.9 53.2 0.3 98.1%
Dis_Re_R 2% o.w.f. x x 30.4 43.4 9.5 - 21.2
D_Dis_Re_R 2% o.w.f. 10 ml 10 g/l 74.8 18.5 8.9 50.9 0.5 97.6%
Dis_Re_R 3% o.w.f. x x 27.4 39.3 10.0 - 23.7
D_Dis_Re_R 3% o.w.f. 10 ml 10 g/l 71.5 20.8 8.8 47.8 0.7 97.0%
Dis_Re_R 5% o.w.f. x x 26.1 37.4 11.5 - 24.1
D_Dis_Re_R 5% o.w.f. 10 ml 10 g/l 70.2 21.3 11.1 46.9 0.8 96.7%

a ΔE: color difference with a dyed sample (before decolorization).

Table 4.

[TeX:] $$\text { CIE } \mathrm{L}^* \mathrm{a}^* \mathrm{b}^*$$ values, color difference, K/S and decolorization efficiency of blue P/C fabric before and after decolorization
Sample Amount of acetone Concentration of NaOH and [TeX:] $$\mathrm{Na}_2 \mathrm{S}_2 \mathrm{O}_4$$ [TeX:] $$\text { CIE } \mathrm{L}^* \mathrm{a}^* \mathrm{b}^*$$ [TeX:] $$\Delta \mathrm{E}$$a Color strength (K/S) Decolorization efficiency Color change
[TeX:] $$\mathrm{L}^*$$ [TeX:] $$\mathrm{a}^*$$ [TeX:] $$\mathrm{b}^*$$
Dis_Re_B 0.2% o.w.f. x x 58.2 -6.5 -17.7 1.84 table9.png
D_Dis_Re_B 0.2% o.w.f. 10 ml 10 g/l 82.1 -5.9 -4.2 27.4 0.2 89.1%
Dis_Re_B 1% o.w.f. x x 34.9 -5.5 -20.7 - 9.9
D_Dis_Re_B 1% o.w.f. 10 ml 10 g/l 66.5 -7.3 -12.4 32.7 0.9 90.9%
Dis_Re_B 2% o.w.f. x x 31.6 -3.4 -17.8 10.6
D_Dis_Re_B 2% o.w.f. 10 ml 10 g/l 61.4 -8.8 -8.4 31.7 1.2 88.7%
Dis_Re_B 3% o.w.f. x x 29.3 -2.8 -16.2 12.0
D_Dis_Re_B 3% o.w.f. 10 ml 10 g/l 60.0 -8.5 -8.1 32.2 1.3 89.1%
Dis_Re_B 5% o.w.f. x x 26.8 -2.4 -13.3 13.3
D_Dis_Re_B 5% o.w.f. 10 ml 10 g/l 57.7 -8.5 -6.3 32.3 1.5 88.7%

a ΔE: color difference with a dyed sample (before decolorization).

전보에서 E-type 분산염료와 이작용성 반응성염료를 사용하여 1% o.w.f.로 염색한 P/C 혼방섬유의 경우, 3가지 색상의 시료 모두 탈색률이 99% 이상이고 탈색후 K/S 값이 0.1 이하로 대부분의 염료를 제거한 결과와 비교하면, 이 연구에서는 Blue 시료를 중심으로 탈색률이 낮았고, 특히 고농도(3−5% o.w.f.)로 염색한 시료는 Orange, Red 시료도 탈색률이 감소함으로써 탈색이 완전히 일어나지 않고, 섬유에 염료가 일부 남아있다고 볼 수 있다. 동일한 농도로 염색된 경우, E-type 분산염료에 비해 S-type 분산염료가 일반적으로 분자량이 더 크고, 섬유와의 결합력이 더 크다고 알려져 있다. 이런 이유로 섬유와 튼튼하게 결합되어 있는 S-type 분산염료는 탈색공정에서 탈색제와의 반응속도가 상대적으로 느릴 것으로 예상된다. 또한 이 연구에 사용된 반응성염료는 모두 아조기가 2개 존재하는 반면, 전보에 사용되었던 반응성염료는 Blue 염료를 제외하고 아조기가 1개 존재한다. 따라서 아조기가 2개 있는 염료는, 탈색공정에서 아조기를 파괴하는 환원반응이 상대적으로 원활하지 않을 것으로 예상할 수 있다. 특히 고농도로 염색된 P/C 혼방섬유 시료의 경우, S-type 분산염료 및 아조기가 2개 포함되어 있는 반응성 염료의 특성들로 인해 탈색공정에서 염료가 완전히 제거되지 않은 것으로 추정된다.

3.3. P/C 혼방 섬유의 해중합 및 Cotton 성분 분리

P/C 혼방섬유에 대해 알칼리 가수분해를 기반으로 에틸렌 글리콜을 공용매로 첨가하는 공정으로 해중합을 실시하였다[16]. Scheme 1의 가수분해방법을 사용하여 P/C 시료를 해중합 반응시키면, PET 성분은 분해되면서 반응액에 녹지만, 반응하지 않는 cotton 성분으로 인해 시료의 형태는 유지된다. Cotton 성분만 남은 고체시료를 분리한 다음, 남은 반응액을 원심분리하면 디소듐 테레프탈레이트(disodium terephthalate)가 물/에틸렌글리콜 공용매 하에서 침전된다. 상층액을 제거하고 남은 디소듐 테레프탈레이트에 증류수를 첨가하여 용해시킨 다음, 산으로 중화시키면 테레프탈산(TPA)으로 전환되면서 침전물이 발생한다. 이 침전물을 여과함으로써 연한 베이지색 분말인 테레프탈산을 얻을 수 있었다. 얻어진 테레프탈산의 구조는 전보[10]와 마찬가지로 1H-NMR 분석을 통해 확인하였으며, 테레프탈산의 순도는 HPLC 분석을 통해 평가하였다. Figure 6은 표준 TPA 및 P/C 혼방섬유의 해중합을 통해 얻은 TPA의 HPLC 분석 결과이다. 표준 TPA는 1.624 min의 유지시간(retention time)을 나타내었으며, 해중합 생성물인 TPA 시료들 역시 1.609−1.616 min의 유지시간을 나타내어 표준 TPA와 동일한 구조라고 판단된다. 또한 모든 시료들은 한 구간에서 뚜렷한 피크로 검출되었으며, 면적기준 99.9%의 높은 순도를 나타내었다. 따라서 이 연구에서 사용한 해중합 공정이 유효함을 알 수 있었다.

Figure 6.

High-performance liquid chromatograms of (a) standard TPA(terephthalic acid), (b) TPA recovered from white P/C fabric, (c) TPA recovered from dyed P/C fabric, and (d) TPA recovered from decolorized P/C fabric.
6.png

해중합 수율(TPA yield, %)은 초기시료의 질량과 혼방비율(P/C=65/35)로부터 해중합반응에 사용된 PET성분의 질량을 계산하였고, 반응으로 얻은 테레프탈산의 질량을 측정하여 계산하였다. Figure 7은 염색을 하지 않은 P/C 시료(white P/C), 분산염료와 반응성염료를 사용하여 중색(1% o.w.f.) 또는 농색(5% o.w.f.)으로 염색한 P/C 시료(orange, red, and blue P/C), 염색한 시료를 탈색처리한 시료(D_orange, D_red, and D_blue P/C)들을 해중합한 다음, 해중합 수율을 측정한 결과이다. 염색을 하지 않은 백색 P/C시료의 해중합 수율은 81.7%인 반면, 중색(1% o.w.f.)으로 염색을 한 시료의 해중합 수율은 orange P/C 61.1%, red P/C 59.6%, blue P/C 60.9% 등으로 크게 감소하였다. 이는 친핵체인 수산화 이온(OH−)이 PET 성분을 가수분해하는 해중합반응 공정에서 섬유에 염착된 염료가 반응의 방해요인으로 작용하기 때문으로 추정된다. 염색한 시료를 탈색한 다음, 해중합을 실시한 경우는 77.5−79.4%로 해중합 수율이 증가하였다. 이는 해중합 반응의 방해요인인 염료를 대부분 제거함으로써, 기준시료인 백색 P/C의 해중합 수율에 근접하는 수준까지 향상시킨 것으로 판단된다. 이러한 경향은 Figure 7(b)의 농색(5% o.w.f.)으로 염색을 한 경우에서도 유사하게 나타났다. 즉, 염료가 제거되지 않은 시료의 해중합 수율이 64.6−66.5%로 낮은 반면, 탈색공정을 거친 이후에는 해중 합수율이 78.4−82.7%로 증가하였다. 특히 blue 시료의 경우, 3.2에서 중색과 농색 염색 후 탈색률이 각각 90.9%와 88.7% 정도로, 염료가 완전히 제거되지 않고 남아 있기 때문에 해중합 수율이 낮을 것으로 예상되었지만, 실제는 다른 색 시료와 유사하거나 오히려 높은 해중합 수율을 얻었다. 이는 염색된 섬유로부터 염료를 완전히 제거하지 않더라도 특정 수준 이상으로 제거하기만 하면, 해중합 반응이 잘 일어나는 것으로 추정된다. 이를 확인하기 위해서는, 탈색률이 순차적으로 차이가 나는 시료들을 준비하고, 이들의 해중합 수율을 비교하는 후속 연구가 필요하다.

Figure 7.

TPA(terephthalic acid) yields after depolymerization of white P/C, dyed P/C, and decolorized P/C fabrics; (a) medium shade (dye concentration: 1% o.w.f.) and (b) deep shade (dye concentration: 5% o.w.f.).
7.png

4. 결 론

이 연구에서는 3종의 S-type 분산염료와 3종의 VS-type 반응성염료를 사용하여 다양한 농도로 염색된 P/C 혼방직물의 화학적 재활용 효율을 높이기 위해, 친환경 수계 탈색 공정을 적용하여 탈색한 다음, PET 성분을 해중합하며 동시에 cotton 성분을 분리하고자 하였다.

알칼리와 환원제를 사용한 탈색조건에서 분산염료, 반응성염료 및 이들의 혼합염료용액을 탈색한 결과, 가시광선 영역 특성피크가 사라지고, 흡광도가 급격히 감소함으로써 염료를 효과적으로 탈색할 수 있음을 확인하였다. 다양한 농도별로 염색된 P/C 섬유를 탈색한 결과 orange와 red의 경우, 농색으로 염색한 시료를 탈색했을 때 색이 일부 남아 있었으나 전체적으로 96.7% 이상의 탈색률을 얻었다. Blue 색상으로 염색한 경우 탈색률이 88.7−90.9%이고, 농색 시료를 탈색했을 때 K/S 값이 상대적으로 높고 파란색이 남아 있는 등 다른 색상의 시료에 비해 탈색특성이 좋지 않았다. 해중합 반응이후 PET 성분은 분해되어 녹고, cotton 성분은 고체로 남아 자연스럽게 두 성분을 분리할 수 있었으며, 해중합 생성물로 고순도의 테레프탈산을 얻을 수 있었다. 백색 P/C 섬유의 해중합 수율은 81.7%였으며, 중색 또는 농색으로 염색한 P/C는 해중합 수율이 59.6−66.5%로 급격히 감소했다. 그러나 염색한 시료를 탈색한 다음 해중합한 시료는 해중합 수율이 77.5−82.7%로 다시 증가하였다.

유색 P/C 혼방섬유를 화학적으로 재활용할 때, 효율적인 해중합 공정을 위해서는 염료의 제거과정이 중요하며, 이 연구에 사용한 탈색 및 해중합 공정은 중색 뿐만 아니라 농색으로 염색된 P/C 혼방섬유의 리싸이클에도 적용가능함을 알 수 있다. 또한 이 공정들은 PET/spandex 또는 PET/nylon 등 PET를 포함하는 다른 복합섬유소재의 리싸이클에도 적용 가능할 것으로 기대된다.

감사의 글

이 성과는 정부(과학기술정보통신부)의 재원으로 한국연구재단의 지원을 받아 수행된 연구임(No. RS-2024-00354823).

References

  • 1 A. Oku, L.-C. Hu, and E. J. Y amada, " Alkali Decomposition of Poly(ethylene terephthalate) with Sodium Hydroxide in Nonaqueous Ethylene Glycol: A Study on Recycling of Terephthalic Acid and Ethylene Glycol", J. Appl. Polym. Sci., 1997, 63, 595−601.custom:[[[-]]]
  • 2 H. L. Lee, C. W . Chiu, and T. Lee, "Engineering Terephthalic Acid Product from Recycling of PET Bottles Waste for Downstream Operations" , Chem. Eng. J. Adv., 2021, 5, 100079.custom:[[[-]]]
  • 3 E. Barnard, J. J. R. Arias, and W. Thielemans, "Chemolytic Depolymerisation of PET: A Review" , Green Chem., 2021, 23, 3765−3789.custom:[[[-]]]
  • 4 B. Mu and Y. Yang, "Complete Separation of Colorants from Polymeric Materials for Cost-effective Recycling of Waste Textiles " , Chem. Eng. J., 2022, 427, 131570.custom:[[[-]]]
  • 5 Y. Li, H. Yi, M. Li, M. Ge, and D. Yao, "Synchronous Degradation and Decolorization of Colored Poly(ethylene terephthalate) Fabrics for the Synthesis of High Purity Terephthalic Acid" , J. Clean. Prod., 2022, 366, 132985.custom:[[[-]]]
  • 6 C. Ling, S. Shi, W. Hou, and Z. Yan, "Separation of Waste Polyester/cotton Blended Fabrics by Phosphotungstic Acid and Preparation of Terephthalic Acid", Polym. Degrad. Stab., 2019, 161, 157−165.custom:[[[-]]]
  • 7 Y. Yang, S. Sharma, C. Di Bernardo, E. Rossi, R. Lima, F. S. Kamounah, M. Poderyte, K. Enemark-Rasmussen, G. Ciancaleoni, and J.-W. Lee, "Catalytic Fabric Recycling: Glycolysis of Blended PET with Carbon Dioxide and Ammonia" , ACS Sustain. Chem. Eng., 2023, 11, 11294−11304.custom:[[[-]]]
  • 8 K. Choudhury, M. Tsianou, and P. Alexandridis, "Recycling of Blended Fabrics for a Circular Economy of T extiles: Separation of Cotton, Polyester , and Elastane Fibers" , Sustainability , 2024, 16, 6206.custom:[[[-]]]
  • 9 M. Matsumura, J. Inagaki, R. Yamada, N. Tashiro, K. Ito, and M. Sasaki, "Material Separation from Polyester/cotton Blended Fabrics Using Hydrothermal Treatment" , ACS Omega, 2024, 9, 13125−13133.custom:[[[-]]]
  • 10 J. K. Sung, S. H. Kim, W. J. Lee, and J. J. Lee, "Eco-friendly Water-based Decolorization and PET Depolymerization for Effective Recycling of PET/Cotton Blend Fabric (I); E-type Disperse Dyes and Bifunctional Reactive Dyes" , Text. Sci. Eng., 2025, 62, 229−239.custom:[[[-]]]
  • 11 S. H. Amirshahi and M. T. Pailthorpe, " Applying the Kubelka- Munk Equation to Explain the Color of Blends Prepared from Precolored Fibers" , Text. Res. J., 1994, 64, 357−364.custom:[[[-]]]
  • 12 R. Li, J. Y ang, G. Zhang, and P . Zhu, "Decolorization of Dark- colored W aste Cotton Fabric Using Redox Decoloring Agents" , RSC Adv., 2022, 12, 17689−17700.custom:[[[-]]]
  • 13 Y . Ko, T . J. Azbell, P . Milner, and J. P . Hinestroza, "Upcycling of Dyed Polyester Fabrics into Copper-1,4-benzenedicarboxylate (CuBDC) Metal-organic Frameworks" , Ind. Eng. Chem. Res., 2023, 62, 5771−5781.custom:[[[-]]]
  • 14 S. Nam and P. G. Tratnyek, "Reduction of Azo Dyes with Zero-valent Iron" , Water Res., 2000, 34, 1837−1845.custom:[[[-]]]
  • 15 H. R. Kim, H. K. Jang, and J. J. Lee, "Black Dyeing of PET with Disperse Dyes of Three Primary Color" , Text. Sci. Eng., 2008, 45, 331−336.custom:[[[-]]]
  • 16 X. W ang, W . An, R. Du, F . Tian, Y . Y ang, X. Zhao, S. Xu, and Y. Wang, "Rapid hydrolysis of PET in High-concentration Alcohol Aqueous Solution by Pore Formation and Spontaneous Separation of Terephthalate" , J. Environ. Chem. Eng., 2023, 11, 109434.custom:[[[-]]]