PDF  PubReader

다중양자 고체 핵자기공명 분광법을 이용한 탄성체 가교밀도 정량분석 최신 연구 동향

여상호 , 정재우

다중양자 고체 핵자기공명 분광법을 이용한 탄성체 가교밀도 정량분석 최신 연구 동향

Recent Advances in Quantitative Crosslinking Density Analysis of Elastomers Using Multi-Quantum Solid-State Nuclear Magnetic Resonance

Sang Ho Yeo, Jae Woo Chung

Abstract: Elastomers, which achieve high durability and excellent elasticity through crosslinked network structures, are indispensable materials widely utilized across various modern industries. Since the physical properties of elastomers are closely correlated with their crosslink density, numerous measurement techniques have been developed to quantify the crosslinking structure, including the swelling method based on the Flory-Rehner equation, tensile testing using the Mooney-Rivlin model with a universal testing machine (UTM), and rubber plateau region analysis via dynamic mechanical analysis (DMA). However, due to the inherent heterogeneity of the actual crosslinked structures in elastomers, there remains a need for a novel analytical approach capable of not only quantifying the crosslink density but also elucidating the crosslinking distribution. In this review, we introduce double quantum nuclear magnetic resonance (DQ-NMR) spectroscopy, which detects nuclear spin signals arising from crosslink-induced double quantum coherence, as a powerful tool to evaluate both the crosslink density and its distribution in elastomers. This method enables precise quantification of the crosslink density and, through normalization, provides crosslinking distribution curves that offer deeper insights into the structural heterogeneity of elastomeric networks. Accordingly, this review outlines the fundamental principles of DQ-NMR and highlights recent research trends employing DQ-NMR techniques to characterize the crosslinking structures of elastomers.

Keywords: crosslink density , double quantum , solid-state NMR , elastomers

1. 서 론

가교 구조를 갖는 탄성체는 자동차, 항공우주, 의료를 비롯한 다양한 산업 분야에서 널리 사용되는 핵심 소재 중 하나이다[110]. 이들의 물성은 자유롭게 운동하는 고분자 사슬(segmental chain dynamics)과 운동이 제한된 가교 영역(crosslinking domain)의 복합적인 상호작용에 의해 결정된다. 대표적인 예로, 천연고무(natural rubber, NR)에 황과 가속제를 넣어 가교를 시킨 가황고무(vulcanized rubber)의 경우 제조 조건에 따란 다양한 다황(polysulfide) 구조가 형성되고 그 구조에 따라 가황고무의 최종 물성이 결정된다[11,12]. 따라서 탄성체의 구조와 가교 밀도(crosslink density)를 정밀하게 분석하는 것은 탄성체 활용의 출발점이자 필수적인 과정이라 할 수 있다.

탄성체의 가교 밀도를 평가하기 위한 다양한 방법들이 제안되어 왔다. 가장 전통적인 방법은, Flory-Rehner 이론에 근거한 용매 팽윤(swelling)법[1315]으로, 간단하고 직관적이라는 장점을 지니지만, 용매-고분자 간 상호작용 파라미터를 고려해야 하고[16], 완전한 습윤 여부를 확인하기 어렵다는 점에서 불가피한 오차가 발생할 수 있다. 또 다른 접근으로 동적기계분석(dynamic mechanical analysis, DMA)을 통해 탄성체의 고무 평탄영역(rubbery plateau)을 해석하고 가교 밀도를 추정하는 방법도 있다[17]. 그러나 이 방법 역시 탄성체의 이상적 구조를 전제로 하여 측정되는 방식이기 때문에 비이상적 가교 구조를 지닌 실제 탄성체의 가교 밀도를 정량화하는데는 한계가 있다. 한편 여러 연구자들은 탄성체의 가교 밀도를 분석하기 위해 어핀(Affine) 모델, 펜톰(Phantom) 모델 등 탄성체의 변형 거동을 규명하기 위한 다양한 이론적 가정을 세우기도 했다[18,19]. 하지만 두 모델은 탄성 재료의 이상적인 가교점의 분포와 변화 거동을 가정으로 하기에 엉킴 등의 변수가 반영된 현실 가교체의 거동과는 차이가 존재할 수밖에 없다. 그외에도 Mooney-Rivlin 식을 활용한 만능재료시험기(universal testing machine, UTM) 측정 방법[20,21]이 존재한다. 인장 시험기를 활용해 얻은 재료의 응력-변형 데이터를 기반으로 [TeX:] $$C_1, C_2$$ 계수를 도출하고, 이를 통해 가교 밀도를 간접적으로 추정하는 방법이다. 하지만 이 방법은 재료 파괴적인 시험이라는 점에서 불가피한 한계를 지닌다.

이러한 가교밀도 측정의 한계점을 극복하기 위해 최근 저자장(low-field) 영역에서 핵스핀의 움직임을 측정하는 시간 영역 핵자기공명장치(time-domain NMR, TD-NMR)를 활용하여 이중 양자(double quantum, DQ)를 측정하고 이를 통해 탄성체의 가교밀도를 정량화 할 수 있는 DQ-NMR 기법이 보고된 바 있다[2224]. DQ-NMR 기법은 정밀성이 매우 높고 빠른 시간 내에 탄성체의 가교밀도를 비파괴적으로 분석해 낼 수 있다는 점에서 큰 장점을 지니고 있다. 또한, 탄성체의 평균 가교밀도 값을 구할 할 수 있을 뿐만 아니라, 티코노프(Tikhonov) 정규화 과정을 거쳐 탄성체의 전반적인 가교밀도 분포를 확인할 수 있어 기존의 이상적 가교 구조를 가정한 분석법과 달리 불균일한 가교 구조도 정량적으로 비교 분석할 수 있다는 점에서 더욱 많은 관심이 집중되고 있다.

본고에서는 가황 NR, 부타디엔 고무(butadiene rubber, BR), 폴리다이메틸실록산(polydimethylsiloxane, PDMS)와 같은 단일 성분 탄성체, EPDM(ethylene-propylene diene monomer), SBR(styrene butadiene rubber), SBS(styrenebutadiene-styrene) 고무와 같이 복잡한 가교 구조를 형성하고 있는 다성분 탄성체, 하이드로젤이나 동적결합가교체와 같은 새로운 형태의 탄성체에 DQ-NMR을 이용하여 가교 구조를 분석하고 가교밀도를 정량화한 최신 연구들을 소개하고자 한다. 이를 통해 DQ-NMR이 탄성체 가교구조과 정량화에 매우 강력한 방법임을 보여주고자 하며, 더 나아가서 탄성체에 투입되는 필러나 공정 및 가공 요소로부터 오는 변화와 차이를 비교 분석함에 있어서도 DQ-NMR이 매우 효과적인 분석법임을 보여주고자 한다. 본고에서는 Bruker사의 mq20 TD-NMR 장비를 바탕으로 실시된 DQ-NMR 연구를 중심으로 고찰하였다.

2. 이중 양자를 이용한 탄성체 가교 구조 해석

2.1. 이중 양자(DQ) 완화거동

DQ-NMR 실험은 분자의 완화거동을 밀리초(ms)의 시간 영역에서 측정하는 독특한 분석법으로 크게 전자 유닛(electronic unit), 자석 유닛(magnet unit), 그리고 측정 샘플 투입구로 구성된 기기를 바탕으로 전반적인 양자의 움직임을 측정한다. 일반적으로 NMR 측정 시 핵스핀이 나타내는 신호는 실수(cosΦ)와 허수(sinΦ) 영역으로 구분되며 가교 영역에서 보이는 제약된 움직임(가교 고정, crosslinklocking)은 DQ라는 특별한 양자 거동을 형성한다. 가교 조건 하에서 움직임이 제한된 극을 가진 양자는 인접한 유사 제약 환경 속에 놓인 양자와 쌍극자 결합(dipolar coupling)을 이루게 되는데 핵스핀이 신호를 주고받을 수 있는 일치된 상태(coherence)를 이룬 양자들은 한 쌍의 단위체로 동시 뒤집힘 현상(simultaneous flip phenomenon)을 보이며 단일양자의 신호 곱을 통해 해당 거동을 표현할 수 있다(Figure 1). 동시 뒤집힘 현상은 쌍극자 결합으로 인해 발현되는 특수한 거동으로 단일 양자 뒤집힘의 중첩과는 별개로 구분되며 가교 결합력에 따라 다른 현상학적 거동을 지니게 된다. 결합 세기는 해당 탄성체가 형성하고 있는 내부 가교 구조와 밀접한 연관성을 지니기에 이중양자 거동을 심층적으로 해석한다면 탄성체 네트워크의 효과적인 분석이 가능하다.

Figure 1.

Diagram of the real and imaginary domains of quantum spins in NMR with phase factor Φ. The DQ simultaneous flip phenomenon is occurred by the dipolar coupling generated by crosslink-locking.
1.png

이처럼 탄성체의 가교점 인근에서 제약된 움직임을 보이는 쌍을 이룬 두 양자 관계를 이중 양자(DQ) 상태라 지칭하고, 발생하는 핵스핀 한 쌍의 완화거동을 이중 양자 완화거동이라 일컫는다. 탄성체가 가지는 독특한 이중 양자 완화거동은 화학적 가교 영역뿐만 아니라 엉킴 혹은 수소 결합과 같은 움직임 제약 여지가 있는 구조에서도 마찬가지로 발현될 수 있다. DQ-NMR 분석은 이러한 움직임에 제약이 생긴 핵스핀을 대상으로 완화거동의 차이를 분석하여 탄성체의 가교 특성을 분석하는 정밀한 측정이라고 할 수 있다.

DQ-NMR 실험은 [TeX:] $$T_2$$ 완화라고 부르는 횡자화 완화 거동 측정을 바탕으로 한다. 기기 내부에서 외부 자기장 환경 속에 놓인 핵스핀들은 외부 자기장 방향을 따라 정렬된다. 이때 정렬된 핵스핀들에 [TeX:] $$90^{\circ}$$ 위상의 라디오파(radio frequency, RF)를 가하게 되면 핵스핀들은 횡평면 상에 위치하도록 위상이 변하게 된다. 이후 정렬된 상태가 붕괴되고 최종적으로 초기 정렬 값의 37%만이 남았을 때를 [TeX:] $$T_2$$ 현상으로 정의하고 해당 현상까지 도달하는데 걸리는 시간을 [TeX:] $$T_2$$ 완화 시간이라 부르는 것으로 알려져 있다. [TeX:] $$T_2$$ 완화 분석은 완화 시간을 통해 분자 구조의 특성과 상태를 확인할 수 있는 효과적인 분석법으로 널리 이용되어 왔으며[2527] 횡 방향 [TeX:] $$T_2$$ 완화 거동을 주파수 영역에서 정밀하게 분석하는 노력들이 오랜 시간 동안 다양한 연구를 통해 이루어져 왔으며[2837] 이러한 시도는 궁극적으로 DQ 실험으로 발전되는 기틀을 마련해주었다고 볼 수 있다.

특히 Cohen-Addad[38]와 Gotlib[39]은 분절(segment) 수준의 국소 정렬 영역에 따른 핵스핀의 진화 현상 및 횡완화 과정을 중점적으로 연구하였으며, 이는 텐서 형태의 NMR 상호작용 및 잔류 평균 운동(residual mean motion) 수치와 크게 관련이 있음을 밝혀낸 바 있다. 또한, 다수의 후속 연구에서는 자유 유도 붕괴(free induction decay, FID) 신호 곡선을 정밀하게 기술할 수 있는 수학적 방법을 개발하고, 무작위의 열적 운동으로부터 비롯되는 스핀 완화 거동과 쌍극자 상호작용의 기여를 분리해내는 데 집중하여 분자 구조의 형성 양상을 밝혀내는데 큰 역할을 해왔다[30,33, 35, 4044]. 이러한 연구들은 오늘날 DQ-NMR 분석 기법의 기반이 되었으며, 이후에 DQ 실험을 새로운 모델 또는 가설의 유효성을 검증하는 도구로 활용하는 연구로까지 확장되었다.

2.2. 이중 양자 검출

빠른 FID 감쇠 특성을 갖는 DQ 신호를 검출하기 위해서는 다양한 자기 펄스들을 조합하여 핵스핀의 위상을 조정할 수 있는 적절한 펄스 시퀀스가 요구되며 단일 양자(single quantum, SQ) 신호를 검출할 때와는 다른 복합적인 펄스 시퀀스가 사용된다. 펄스 시퀀스를 통해 DQ 신호를 검출하기 위해서는 움직임이 제약된 핵스핀 간의 공명 수치인 잔류 쌍극자 상호작용 상수(residual dipolar coupling constant, RDC)를 분리할 필요가 있다. 이를 위해 Pseudosolid Spin Echo 기법을 활용한 연구[45]가 진행되었고 쌍극자 신호 분리 능력을 향상 시키기 위한 다양한 접근법도 제안된 바가 있다. 대표적으로 Hahn Echo와 Solid Echo를 결합한 하이브리드 시퀀스의 개발과 셋 이상의 RF 펄스를 활용한 Stimulated Echo (STE) 실험 등이 있다[4649]. 이러한 기법들은 핵스핀 간의 상호작용을 더욱 정밀하게 조절하여 커플링 된 핵스핀 시스템의 특성을 분리하는데 크게 기여해왔다. 특히 쌍극자 상호작용을 재집중(Refocus)시키는 과정을 통해 생성되는 빌드-업 함수의 활용은 다양한 동적 상황에서 핵스핀의 거동을 분석할 수 있게 해주었고[50] 이러한 분석을 통해 얻어지는 DQ 신호의 시간에 따른 세기 변화는 탄성체의 가교 네트워크 내 커플링 특성과 동역학적 거동의 정량적 해석이 효과적으로 이루어지는데 큰 도움을 주었다.

DQ 신호 검출을 위해 사용되는 전반적인 펄스 시퀀스는 Figure 2에 나타내었으며, 해당 시퀀스는 자기장 환경 속에서 발현되는 유효 위상 인자(phase factor, Φ)와 측정 사이클의 수[TeX:] $$\left(\mathrm{n}_{\mathrm{c}}\right)$$와 시간적 길이[TeX:] $$\left(\mathrm{t}_{\mathrm{c}}\right)$$를 고려하여 구성된다. 이때 유효 위상 인자는 상호작용 텐서의 공간적 배향에 의해 고려되며 외부 자기장에 대한 핵스핀의 상호작용 각도 β에 대한 2차 르장드르 다항식(2nd Legendre Polynomial, [TeX:] $$P_2$$)과 정적 상태 유효 잔류 쌍극자 결합 상수[TeX:] $$(\mathrm{D}_{\mathrm{eff}})$$을 통해 수학적으로 기술된다(식(1)).

(1)
[TeX:] $$\phi_{Q D}=D_{e f f} \int_{\tau_a}^{\tau_b} P_2\left(\cos \beta_t\right) d t$$

Figure 2.

A scheme of the pulse sequence in DQ experiment with low-field NMR. Φ represents pure DQ Hamiltonian with relaxation time. [TeX:] $$\mathrm{n}_c, \mathrm{t}_{\mathrm{c}}$$ denote the number of cycles and cycle time, respectively.
2.png

Figure 2에 나타낸 DQ-NMR의 펄스 시퀀스는 기본적으로 세 가지 단계인 excitation, reconversion, acquisition 단계로 구성된다. Excitation 단계에서는 SQ 상태로 존재하던 핵 스핀이 DQ 상태로 진화하며, reconversion 단계에서는 이 DQ 상태의 핵스핀을 다시 SQ 상태로 전환하여 검출 가능한 형태로 변환되는 과정을 거치게 된다. 마지막 acquisition 단계에서는 추가적인 펄스를 통해 핵스핀을 횡평면(XY 평면) 상에 위치시키게 되고 해당 평면 상에 위치한 검출기(detector)를 통해 NMR 신호를 수집하게 된다. 각 단계에 해당하는 펄스 시퀀스를 조합함으로써, 커플링 된 DQ 신호와 비커플링 된 SQ 신호를 분리할 수 있으며, 이를 통해 시료 내 가교 밀도 및 네트워크 구조의 분포 상태를 정량적으로 분석하게 된다.

2.3. 펄스에 대한 핵스핀(Nuclear Spin) 저항성

외부 자기장이 인가된 상태에서 가교 영역 양자만이 갖는 독특한 핵스핀의 동역학적 거동, 즉 펄스에 대한 가교영역 핵스핀의 저항성 개념은 탄성체의 가교밀도를 해석하는데 매우 중요한 요소로 작용한다. 가교 영역은 분자 운동이 강하게 제약된 영역으로 해당 제약성이 핵스핀 거동에 반영되어 [TeX:] $$90^{\circ}, 180^{\circ}$$ 등의 펄스에 대한 핵스핀의 위상 변화에서 일반적인 유동적인 분자 사슬과는 다른 독특한 핵스핀 배향 양상을 보일 수 있다. 일반적으로 [TeX:] $$90^{\circ}$$ 펄스를 가하게 되면 외부 자기장 방향으로 배향되어 있던 핵스핀의 자화가 횡평면 상에 위치한다고 알려져 있지만 제약성이 강한 가교점에서는 이러한 양상이 완전히 이루어지지 않고, 횡평면에 완전히 도달하지 못한 채 Z축에 가까운 방향을 유지하는 불완전한 배향이 발생할 수 있다. 이는 가교 결합의 세기와 네트워크 구속 환경에 의하여 펄스에 따른 핵스핀의 회전 반응이 제한되기에 나타나는 현상이라고 볼 수 있다.

Figure 3.

State of nuclear spin affected by the resistance to the initial [TeX:] $$90^{\circ}$$ pulse considering the motion restriction due to the crosslink.
3.png

가교로 인해 움직임이 제약된 상황 속에서 배향된 초기 상태의 핵스핀은 이후 횡완화 과정에서 작은 회전 반경을 가지며, 결과적으로 FID 신호가 빠르게 감쇠하는 [TeX:] $$T_2$$ 완화 거동으로 이어진다. 이러한 현상은 분자의 이동성이 제한된 영역의 전형적인 완화 특성과 일치하며, 핵스핀의 초기 배향 상태가 완화 속도에 직접적인 영향을 미친다는 점에서 의미를 가진다. 이러한 개념을 직관적으로 이해하기 위해, 가교 영향을 반영한 [TeX:] $$90^{\circ}$$ 펄스에 대한 핵스핀의 저항성을 보여주는 모델을 Figure 3에 제시하였다.

2.4. 쌍극자 상호작용

외부 자기장 하에서 쌍극자 상호작용을 이루는 두 핵스핀 극 방향이 이루는 각도를 일반적으로 β로 정의하는데 이때 자기장 조건에서 스핀쌍의 위상 인자(phase factor, Φ)를 고려한 DQ 신호의 강도는 sinΦ 함수 관계(식 (2))를 따르는 것으로 알려져 있고, 두 핵스핀 간의 상호작용은 각각의 신호 강도(I)와 스케일링 인자[TeX:] $$(\alpha(\psi))$$를 고려한 Hamiltonian 해석을 통해 식 (3)과 같이 이론적으로 기술할 수 있다[51].

이러한 핵스핀 간의 상호작용을 정량적으로 표현하기 위해, 동역학적 움직임이 없는 준정적 상태(Quasi-static 상태)를 가정한 보정된 실험 쌍극자 결합 상수[TeX:] $$\left(D_{\text {stat}} / k\right)$$를 도입하여 핵스핀 간의 상호작용이 표현되곤 한다. 이때 k는 신호 보정을 위한 실험적 보정계수를 의미하며 [TeX:] $$\left(D_{\text {stat}} / k\right)$$는 이론적으로 유효한 쌍극자 결합 상수 [TeX:] $$\mathrm{D}_{\mathrm{eff}}$$와 식 (4)에 나타낸 관계를 가진다고 알려져 있다.

(2)
[TeX:] $$I_{D Q}=\left\langle\sin \phi_1 \sin \phi_2\right\rangle$$

(3)
[TeX:] $$\overline{H_{D Q}}=-\frac{\alpha(\psi)}{2} \sum_{i\lt j} D_{e f f}^{(i j)} P_2\left(\cos \beta_{i j}\right)\left(\hat{I}_{+}^{(i)} \hat{I}_{+}^{(j)}+\hat{I}_{-}^{(i)} \hat{I}_{-}^{(j)}\right)$$

(4)
[TeX:] $$D_{e f f}=D_{s t a t} / k$$

그러나 실제 동적 시스템에서는 탄성체의 가교 간 분자 사슬의 동적 움직임으로 인해 DCC 값이 감소하게 되고 일부 잔류하는 상호작용 값만이 측정되는데 이러한 수치는 동적 잔류 쌍극자 상호작용 상수[TeX:] $$(\mathrm{D}_{\mathrm{res}})$$로 검출되게 된다. 즉, [TeX:] $$\mathrm{D}_{\mathrm{res}}$$는 구조 내 분자 운동성이 제약된 영역에서의 국소 정렬도를 고려한 핵스핀의 상호작용 수치로 간주될 수 있다. 가교 간 사슬의 국소 정렬도 [TeX:] $$\left(S_b\right)$$는 정적인 상태와 동적인 상태에서의 쌍극자 결합 수치의 비율 관계로 해석될 수 있으며 이와 관련하여 식 (5)에 나타냈다.

(5)
[TeX:] $$D_{\text {res }}=S_b \times D_{\text {stat }} / k$$

이처럼 동적 상태에 놓인 실제 탄성체에서의 국소 정렬 현상을 반영한 [TeX:] $$\mathrm{D}_{\mathrm{res}}$$는 가교밀도를 정량적으로 분석하는데 있어서 핵심적인 인자로 작용하게 된다[51].

2.5. 가교 분자량(Crosslinking Molecular Weight, [TeX:] $$\mathrm{M}_{\mathrm{c}}$$) 산출

네트워크의 가교 특성 중 하나인 가교 분자량 [TeX:] $$(\mathrm{M}_{\mathrm{c}})$$은 가교점 간에 형성된 사슬을 대상으로 하는 수치로 가교 밀도와 [TeX:] $$\mathrm{D}_{\mathrm{res}}$$ 값과는 역의 관계를 가지고 있다. 또한 가교 네트워크의 상태를 나타내는 동적, 정적 쌍극자 결합 상수 간의 비율과 Flory Characteristic Ratio [TeX:] $$(\mathrm{C}_{\infty})$$, 반복 단위의 분절 수(α) 및 길이(c)와 분자량[TeX:] $$(\mathrm{M}_0)$$을 고려하면 식 (6)를 활용하여 탄성체의 가교 분자량을 산출할 수 있는 것으로 알려져 있다[52].

(6)
[TeX:] $$M_c=\frac{3}{5} \frac{D_{\text {stat}} / k}{D_{\text {res }}} \frac{C_{\infty}}{\alpha c^2} M_0$$

해당 식에서 쌍극자 결합 상수의 비율은 가교점 간의 공간적인 거리를 상대적으로 표현한 값으로 볼 수 있고 Kuhn 관점을 적용한 [TeX:] $$\mathrm{C}_{\infty}$$[TeX:] $$a c^2$$의 비는 가교점 간의 반복단위의 수를 상대적으로 나타낸다고 해석할 수 있다. 이를 바탕으로 가교 분자량을 해석하는데 있어서 일부 탄성체의 경우에는 단순화된 경험적 모델이 이미 제안된 바가 있다. 특히 NR, BR, PDMS 등의 경우, 식 (7)를 활용하여 측정된 [TeX:] $$\mathrm{D}_{\mathrm{res}}$$ 값을 대입함으로써 간단한 계산을 통해 [TeX:] $$(\mathrm{M}_{\mathrm{c}})$$ 값을 산출할 수 있을 뿐더러[52] 빠른 초기 분석을 가능하게 한다는 점에서 DQ-NMR 기법을 유용하게 사용할 수 있다.

(7a)
[TeX:] $$M_{c, N R}=\frac{617}{D_{r e s}} \mathrm{kg} / \mathrm{mol}$$

(7b)
[TeX:] $$M_{c, B R}=\frac{656}{D_{r e s}} \mathrm{~kg} / \mathrm{mol}$$

(7c)
[TeX:] $$M_{c, P D M S}=\frac{1266}{D_{r e s}} \mathrm{~kg} / \mathrm{mol}$$

다만, 여기서 주목해야 할 점은 산출된 [TeX:] $$(\mathrm{M}_{\mathrm{c}})$$는 평균값에 해당한다는 사실이다. 이는 탄성체가 균일한 가교 구조를 형성하고 있을 경우에 한정하여 유의미하며 불균일한 가교 구조를 가지고 있는 복잡한 네트워크 구조를 가진 탄성체의 경우에는 평균값만으로 가교 양상을 정밀하게 해석하기에는 한계가 존재한다고 볼 수 있다. 따라서 단순 평균값을 이용한 비교에 그치지 않고 불균일한 가교 구조를 효과적으로 해석할 수 있는 또 다른 방법을 모색할 필요가 있다. 이러한 측면에서 DQ-NMR 기법을 티코노프 정규화 (Tikhonov Regularization) 과정으로 가교 분포 곡선을 도시하게 되면 보다 정확한 탄성체 가교 구조 양상을 효과적으로 보여줄 수 있다.

2.6. 이중 양자(DQ) 실험 및 가교 분포 분석

DQ-NMR 측정을 통해서 얻어지는 정규화 이중 양자 신호[TeX:] $$\left(\mathrm{I}_{\mathrm{nDQ}}\right)$$에 단순 지수 함수 기반 가우시안 맞춤 함수(식 (8a)) 또는 쌍극자 결합 함수를 가우시안 분포로 가정한 가우시안 분포형 맞춤 함수(식 (8b))를 적용하면 앞서 언급한 잔류 쌍극자 결합 상수와 표준편차 값을 도출해낼 수 있는 것으로 알려져 있다.

(8a)
[TeX:] $$I_{n D Q}\left(\tau_{D Q}, D_{r e s}\right)=\frac{1}{2}\left(1-\exp \left\{-\frac{2}{5} D_{r e s}^2 \tau_{D Q}^2\right\}\right)$$

(8b)
[TeX:] $$I_{n D Q}\left(\tau_{D Q}, \bar{D}_G, \sigma_G\right)=\frac{1}{2}\left(1-\frac{\exp \left\{-\frac{\frac{2}{5} \bar{D}_G^2 \tau_{D Q}^2}{1+\frac{4}{5} \sigma_G^2 \tau_{D Q}^2}\right\}}{\sqrt{1+\frac{4}{5} \sigma_G^2 \tau_{D Q}^2}}\right)$$

하지만 다중 개형(Multimodal)이 강하게 발현되는 일부 탄성체에 대해서는 단일 RDC를 대상으로 설계된 식 (8)을 적용했을 시에 오차 발생 가능성이 존재하는 한계점을 지닌다. 이에 대한 보완으로 Walter Chasse와 동료 연구진들이 새로 고안한 유사-아브라감(Abragam-like, A-l) 함수(식 (9))는 해당 발생 오차를 줄이는데 큰 기여를 하였다[53]. 해당 함수식은 기존 가우시안 기반 함수가 가진 [TeX:] $$\mathrm{I}_{\mathrm{nDQ}} \sim 0.45$$까지 데이터가 유효하게 반영되는 한계점을 극복하여 더 높은 영역 [TeX:] $$\left(\mathrm{I}_{\mathrm{nDQ}}\gt 0.45\right)$$의 데이터를 반영할 수 있고 다중 개형(Multimodal)을 가진 탄성체에도 적용이 가능할 수 있도록 하였다(Figure 4). Figure 4(a) 보듯이 황 함량이 1.3 phr(C2), 11.1 phr(C8)로 다른 두 NR 샘플 각각에 대하여 [TeX:] $$\mathrm{I}_{\mathrm{nDQ}}\gt 0.45$$ 데이터를 포함하여 A-l 함수를 적용하였을 때 더 정확한 [TeX:] $$\mathrm{D}_{\mathrm{res}}$$ 값을 얻을 수 있었고, Figure 4(b)에서 나타난 이중 개형을 가진 혼합물에 대해서도 A-l 함수를 적용했을 때 더 정확한 가교 구조 분석이 가능함을 볼 수 있다.

(9)
[TeX:] $$\begin{aligned} & I_{n D Q}\left(\tau_{D Q}, D_{\text {res }}\right)=\frac{1}{2}\left(1-\exp \left\{-\left(0.378 D_{\text {res }} \tau_{D Q}\right)^{1.5}\right\}\right. \\ & \left.\quad+\cos \left(0.583 D_{\text {res }} \tau_{D Q}\right)\right) \end{aligned}$$

Figure 4.

(a) Build-up curves of NR-C2 and NR-C8. (b) Build-up curve of a bimodal mixture of NR-C2 and NR-C8; the horizontal lines indicate the fitting limit for the former [ 53].
4.png

그럼에도 불구하고 이들은 모두 가우시안 정규화를 근간으로 하기 때문에 불균일한 가교 구조를 해석하는데 여전히 어려움이 있다. 이에 Walter Chasse와 동료 연구진들은 A-l 함수를 기반으로 한 [TeX:] $$\mathrm{I}_{\mathrm{nDQ}}$$ 값에 가우시안 정규화가 아닌 티코노프(Tikhonov) 정규화를 적용시켜 기존에는 분석하기 어려웠던 탄성체의 불균일 가교 분포 양상을 정확히 분석해 낼 수 있었다(Figure 5).

Figure 5.

Corresponding RDC distributions of a bimodal mixture of NR-C2 and NR-C8 [ 53].
5.png

티코노프 정규화를 통한 탄성체의 가교 구조 및 분포 곡선을 정확히 형성시키기 위해서는 함수 변환 파라미터인 입력 에러 파라미터 [TeX:] $$\left(\varepsilon_c\right)$$를 적절히 선별하는 과정이 선행적으로 요구된다. 어떤 [TeX:] $$\varepsilon_c$$를 선택하는지에 따라서 분포 그래프 개형이 달라지기 때문에 적절한 파라미터 선정이 요구되는 가운데 다행스럽게도 해당 선정 방법에 대해서는 이전 연구에서 소개된 바가 있다(Figure 6). J.L Valentin와 동료 연구진들은 다양한 Input Error Parameter 값을 선택하였을 때 나타나는 분포 함수 형태의 특징들을 각각의 에러 파라미터마다 기술한 바가 있으며(Figure 6(a)) 각각의 입력 에러 파라미터를 선택하였을 때의 발생하는 서로 다른 분포의 모습을 제시하였다(Figure 6(c))[54]. Walter Chasse와 동료 연구진들은 [TeX:] $$\chi^2$$ 에러 함수 그래프 상에 직선 형태의 추세선을 그어 두 추세선이 만나는 지점을 최적의 입력 에러 파라미터 값으로 지정하였고 해당 지점의 에러 파라미터를 사용하였을 때 가교 구조 양상을 나타낼 수 있는 적절한 가교 분포 곡선이 도출됨을 보여주었다(Figure 6(b), (d))[53]. 도출된 가교 분포 그래프는 탄성체 내 가교 영역을 적절히 구분지어 보여주는 다중 개형(multi-modal)으로 표현되었으며 해당 개형을 통해 후가교, 엉킴 등의 모폴로지 양상을 추측할 수 있다. 이때 기준이 되는 [TeX:] $$\varepsilon_c$$에 비해 에러 파라미터 값을 과하게 설정할 경우, Figure 6(c), (d)에서 나타난 초록색 가교 분포 개형처럼 개형이 과하게 좁혀져 일부 정보가 누락될 수 있기에 에러 파라미터 선정 과정에서 각별한 주의가 필요하다.

Figure 6.

(a) and (b) Calculated [TeX:] $$\chi^2$$ for a series of error parameters [TeX:] $$\varepsilon$$. The arrow indicates the physically meaningful [TeX:] $$\varepsilon_c$$. (c) and (d) Distributions of [TeX:] $$\mathrm{D}_{\mathrm{res}}$$ as a function of input error [ 53, 54].
6.png

3. 이중 양자(DQ) NMR 실험을 활용한 탄성체 가교 분석 연구 동향

본 절에서는 DQ-NMR 기법을 활용하여 다양한 탄성체를 대상으로 가교밀도를 정량적으로 분석하고 가교 분포 해석을 통해 탄성체 네트워크를 효과적으로 평가한 주요 연구들을 종합적으로 소개하고자 한다. 특히, 해당 연구들은 단일 성분 탄성체, 다성분 탄성체, 그 외 고분자 젤과 동적결합 영향이 반영된 확장된 가교체 등의 다양한 탄성체를 대상으로 DQ-NMR 분석을 적용하여 가교 구조를 해석하고 조건에 따른 변화 양상을 분석한 내용을 소개하고자 한다.

3.1. 단일 성분(Single Component) 탄성체

천연 고무(NR) 및 부타디엔 고무(BR)의 가황 연구: J. L. Valentin와 동료 연구진들은 가황 공정에 사용되는 황/촉진제, 과산화물 함량에 따라 달라지는 NR과 BR의 네트워크 변화를 DQ 실험을 통해 해석하였다. Thomas Hancock과 Charles Goodyear가 가황법을 발견한지 100년이 넘는 세월이 흘렀지만 아직까지 어떤 반응이 지배적으로 작용하는지는 물론 관련된 반응 메커니즘에 대해서는 완전히 밝혀지지 않은 상태이다. J. L. Valentin와 동료 연구진들은 이온 반응과 자유 라디칼 반응이 모두 작용하고 해당 반응은 고무 종류 및 가황 조건에 따라 달라진다는 생각을 바탕으로 공정에 따른 다양한 현상학적 양상 변화를 탐구하였다[54]. 해당 연구에서 동일한 함량(phr)의 전통적인 가황 공정(C=Conventional)을 각각 NR, BR에 적용하였을 때, 균일한 가교를 형성하는 NR과 다르게 BR에서는 불균일한 가교 구조가 형성됨을 확인하였다(Figure 7(a)). 또한 NR에 들어가는 과산화물 함량을 늘려가며 제조된 탄성체의 가교 분포 개형을 비교한 결과, 과산화물이 2 phr 함량 첨가된 NRP(2) 샘플에서 가교 밀도 변화에 대한 중간 과도기적 양상을 확인함과 동시에 점차 조밀한 가교 영역이 생성되며 불균일한 가교 분포로 변화함을 확인하였다(Figure 7(b)). 추가적으로 DQ-NMR 실험을 통해 얻은 [TeX:] $$\sigma \text{ and } \mathrm{D}_{\mathrm{res}}$$ 데이터를 활용하여 가교 밀도에 대한 제조된 탄성체의 가교 균일도를 평가하였다. 해당 평가 과정 속에서 과산화물을 사용한 탄성체의 경우 전반적으로 불균일한 가교 성질을 보였으며 실험에 사용된 다양한 가황 시스템에 대해서 공통적으로 [TeX:] $$2 \times 10^4 \mathrm{~mol} \cdot \mathrm{~g}^{-1}$$ 부근의 가교 밀도를 가질 때 비교적 균일한 가교가 형성됨을 확인하였다(Figure 7(c)).

Figure 7.

(a) Effect of vulcanization systems on the distribution in NR, BR, (b) distribution of NR according to peroxide content, and (c) variation in crosslinking distribution according to additives [ 54].
7.png

Dumitrita Moldovan와 동료 연구진들은 1−7 phr로 황 가속제 함량이 조절된 가황 NR시료(NR1-7)에 대해 1년, 2년, 6년간의 장기 자연 노화 효과에 따른 가교 변화를 비교하였다. 그 중에서 NR1 샘플군 중 6년 경과된 2009년도에 측정한 샘플에서 특징적인 Bimodal 빌드-업 그래프 개형을 보이는 것을 확인하였고, 가교밀도가 노화에 의해서 줄어들었음을 확인하였다(Figure 8(a)). 뿐만 아니라, 추가적으로 동일하게 6년이 경과된 가속제 함량이 다른 샘플들의 가교 분포 양상을 함께 제시하였고, 가속제의 함량이 많을수록 빠르게 네트워크 구조를 형성함과 동시에 유연성이 떨어지는 짧은 황가교를 형성함을 보여주었다. Figure 8(b)에서 보듯이 가속제 함량이 7 phr로 제일 많은 NR7 샘플에서 초기 완화시간(0.4 ms) 영역에서 두드러진 [TeX:] $$\mathrm{I}_{\mathrm{nDQ}}$$ 피크 개형이 형성됨을 확인할 수 있었다. 반면 가속제 함량이 1 phr로 제일 낮은 NR1 샘플에서는 초기 완화시간(0.5 ms)에서 낮은 피크 곡선과 함께 후기 완화시간(1.5 ms)에서 두드러진 솟은 곡선 개형을 보이는 것을 확인하였다. 이를 통해 가속제가 적게 포함된 경우 노화에 의한 짧은 황가교 사슬 형성이 더딘 것을 알 수 있었다(Figure 8(b))[55].

Figure 8.

(a) Normalized 1H DQ build-up curve for natural aged crosslinked natural rubbers measured after one, two, six years from the production date and (b) 1H DQ build-up curve of NR1 after six years after production [ 55].
8.png

폴리디메틸실록산(PDMS) 고무: Walter Chasse와 동료 연구진은 무작위로 가교된 polydimethylsiloxane (PDMS) 네트워크를 대상으로 DQ-NMR 실험과 평형 팽윤 실험을 통해 각각 산출된 [TeX:] $$\mathrm{M}_{\mathrm{c}}$$ 값을 비교하였다. 전환율(%)이 서로 다른(c50, c75, c100) 랜덤 PDMS 네트워크에 대하여 DQ-NMR 실험을 수행한 결과, 전환율이 100%(c100)에 가까워질수록 [TeX:] $$\mathrm{D}_{\mathrm{res}}$$는 증가하였고 가교밀도가 높아졌을 뿐만 아니라 불균일한 가교 구조가 만들어짐을 확인하였다(Figure 9(a)). 뿐만 아니라, Magic Angle Spinning (MAS) NMR로 결정된 반응 전환율을 바탕으로 한 Miller-Macosko 모델 계산 결과를 바탕으로 DQ-NMR 실험과 평형 팽윤법을 통해 측정된 [TeX:] $$\mathrm{M}_{\mathrm{c}}$$ 값의 부피분율 [TeX:] $$\left(\Phi_{\mathrm{p}, \mathrm{e}}\right)$$ 및 가중 평균 가교 기능성[TeX:] $$\left(\mathrm{f}_{\mathrm{wa}}\right)$$을 고려한 일치도를 확인하였다. 평형 팽윤 결과 Miller-Macosko 계산값 대비 1.43이라는 그래프 기울기 값을 얻었으며(Figure 9(b)), DQ-NMR 측정 결과 0.73이라는 확연히 다른 기울기 결과 값을 얻었다(Figure 9(c)). 반면, 두 측정법을 통해 얻어진 데이터 간 상관관계에 기능기(f)를 고려한 펜톰(Phantom) 모델을 적용하여 보정(f/(f-2))한 결과 데이터가 유사-일치하는 결과를 확인하며 펜톰 모델의 타당성을 확인하였다(Figure 9(d))[16].

Figure 9.

(a) Residual dipolar coupling distributions of PDMS samples obtained by analysis of the normalized build-up curve [TeX:] $$\mathrm{I}_{\mathrm{nDQ}}$$. Comparison of the molecular weights between crosslinks obtained by the different methods: (b) equilibrium swelling vs Miller-Macosko calculations, (c)DQ NMR vs Miller-Macosko calculations, and (d) DQ NMR vs swelling with or without consideration of defects in the analysis. The dotted lines in parts (b) and (c) have unity slope, and the insets show log-log representations of the data with fits allowing for a variable scaling exponent. The dashed line in (c) indicates the expected influence of entanglements. The arrow in part (d) connects two points from identical samples, demonstrating the magnitude of the [TeX:] $$\mathrm{f}_{\mathrm{wa}} \text { and } \phi_{\mathrm{p}, \mathrm{e}}$$ dependent correction [ 16].
9.png

Ana P. Munaro와 동료 연구진들은 12년간 고전압(25 kV) 및 강한 UV 환경에 노출된 PDMS 절연제 샘플을 대상으로 안쪽(L-1) 세 영역(S(surface), M(middle), B(bulk))과 바깥쪽(L-2) 두 영역(S(surface), M(middle))을 대상으로 자연 UV 노출 영향에 따른 가교도의 차이를 분석하였다. 해당 샘플들에 대해 DQ-NMR 실험을 진행한 결과, Figure 10(a)에서 확인할 수 있듯이 UV 노출이 가장 심한 표면(S)부에 위치한 샘플인 L-1S, L-2S의 경우 각각 약 0.086, 0.087 mol∙kg-1의 평균 가교밀도[TeX:] $$\left(1 / \mathrm{M}_{\mathrm{c}}^{\mathrm{DQ}}\right)$$ 값을 지니는 것을 확인하였다. 해당 결과는 중심부 샘플인 L-1M, L-2M의 평균값인 0.091 mol∙kg-1 수치보다 작게 측정되었지만 분포 형태로 비교해보았을 때, 표면부 샘플의 경우 중심부 샘플에 비해 넓은 가교분포를 가짐과 동시에 강한 가교 영역을 포함한 다양한 결합 세기의 가교 구조를 형성한 불균일한 네트워크를 형성함을 확인하였다. 해당 분포 양상은 UV 노출에 따른 가교 영역 파괴(낮은 가교 밀도 영역)와 후가교(강한 결합을 가진 높은 가교 밀도 영역) 현상이 발생함을 보여주었고 가교 분포 비교가 단순 평균값 비교에 비해 더욱 심화됨을 보여주었다. Figure 10(b)에서는 영역별 불균일도[TeX:] $$\left(\mathrm{r}_{\mathrm{G}}\right)$$와 결함 영역을 비교한 결과를 나타내었다. 먼저 불균일도를 비교해보았을 때, UV 노출이 제일 큰 표면부 샘플인 L-1S, L-2S에서 UV 노출로 인한 사슬 파괴 및 후가교 현상으로 인해 0.30, 0.37의 큰 수치가 나타나는 것을 확인하였다. 추가적으로 결함 영역을 확인해보았을 때, 표면 샘플 L-2S에서 L-1M, L-1B 등 다른 샘플들의 수치(7.8−8.8%)에 비해 낮은 결함 영역(5.9%)을 가지는 것을 볼 수 있으며 해당 결과도 후가교 현상이 표면부에서 활발히 발생함을 보여주는 중요한 결과로 해석된다[56]. 이와 같은 사례는 DQ-NMR 기법이 샘플의 부위별 미세 변화를 민감하게 잡아내어 차이를 확인할 수 있음을 시사한다.

Figure 10.

(a) Distribution of [TeX:] $$1 / \mathrm{M}_{\mathrm{c}}{ }^{\mathrm{DQ}}$$. (b) [TeX:] $$\mathrm{r}_{\mathrm{G}}$$ and defect fraction values obtained from (a) [ 56].
10.png
3.2. 다성분(Multiple Component) 탄성체

복합성분 탄성체 구조 분석: Akshay Karekar와 동료 연구진은 NR, SBR, 및 이들의 블렌드 샘플을 대상으로 열화 시간(100, 200, 500, 1000시간)에 따른 가교 분포 변화를 분석하였다(Figure 11). 먼저, 열화를 거치지 않은(빨간 선) NR 및 SBR 샘플을 비교한 결과, NR은 최대 [TeX:] $$\mathrm{D}_{\mathrm{res}} \approx 1.5 \mathrm{kHz}$$까지 넓은 가교 분포를 가진 SBR에 비해 가교밀도가 낮은 평균 [TeX:] $$\mathrm{D}_{\mathrm{res}} \approx 250 \mathrm{Hz}$$의 가교 영역을 상대적으로 더 많이 내포한 균일한 가교 구조를 가지고 있음을 확인하였다. 이후 100시간 열화 시, NR 샘플과 NR 함량이 높은 NRSBR9010 샘플에서 별다른 변화를 보이지 않았지만 SBR과 SBR 함량이 높은 NRSBR1090 샘플에서는 1.5~2 kHz의 결합력이 강한 높은 [TeX:] $$\mathrm{D}_{\mathrm{res}}$$ 영역이 형성되는 것을 보였다. 200시간 열화 조건에서도 현상은 동일하게 나타났으며 500시간 열화 조건 시, NR 샘플에서도 0.5~0.8 kHz의 [TeX:] $$\mathrm{D}_{\mathrm{res}}$$ 값을 갖는 강한 결합 영역이 일부 형성됨을 확인하였다. 최종적으로 1000시간 열화 공정을 진행한 결과, 모든 샘플에서 전반적으로 1000 Hz 이상의 [TeX:] $$\mathrm{D}_{\mathrm{res}}$$ 값을 갖는 경향을 확인하였다. 이때 NR과 NRSBR9010, NRSBR5050 샘플에서는 긴 꼬리를 갖는 넓은 분포 개형이 관측된 반면, SBR에서는 상대적으로 평균 [TeX:] $$\mathrm{D}_{\mathrm{res}}$$가 400 Hz, 1.5 kHz 값을 갖는 영역이 유독 발달되는 양상을 확인하였다[57].

Figure 11.

Distribution plots of residual couplings show the formation of weakly and strongly coupled fractions in NR/SBR samples aged for prolonged durations [ 57].
11.png

Akshay Karekar와 동료 연구진은 풍화 영향이 반영된 NR, SBR, 그리고 50/50 블렌드 샘플에서 발생하는 구조적 변화에 대해서도 분석하였다. Figure 12(a)에 나타난 바와 같이, SBR의 경우 풍화 시간 988시간 동안 [TeX:] $$\mathrm{D}_{\mathrm{res}}$$가 0.30−0.40 kHz 영역에서 지속적으로 증가하고 0.41 kHz 값에서 유지되는 경향을 보였다. 특히, 풍화 시간 504시간에서 가장 높은 [TeX:] $$\mathrm{D}_{\mathrm{res}} \approx 0.404 \mathrm{kHz}$$ 값을 나타냈으며, 이는 초기 값([TeX:] $$\mathrm{D}_{\mathrm{res}} \approx 0.297 \mathrm{kHz}$$)보다 약 0.1 kHz 증가한 수치로 보다 강한 가교 구조가 형성되었음을 확인하였다(Figure 12(b)). 한편, Figure 12(a)에서 NR의 경우 초기 168시간까지는 [TeX:] $$\mathrm{D}_{\mathrm{res}}$$가 일정 수준 ([TeX:] $$\mathrm{D}_{\mathrm{res}} \approx 0.30 \mathrm{kHz}$$) 유지되었으나, 이후 [TeX:] $$\mathrm{D}_{\mathrm{res}} \approx 0.27 \mathrm{kHz}$$ 영역까지 점차 감소하여 유지되는 경향을 보였다. 해당 현상은 NR 고무의 고분자 사슬 절단 반응과 관련이 있으며, 이로 인해 결함 영역이 초기 3%에서 9.2%까지 증가함을 확인하였다(Figure 12(c)). 또한 Figure 12(a)에서 SBR은 앞선 Figure 11에서 확인한 넓은 가교 분포 개형과 일치하는 NR에 비해 상대적으로 높은 [TeX:] $$\sigma \approx 0.5 \sim 0.7$$의 표준편차 값을 보이는 것을 확인하였다[58].

Figure 12.

(a) Crosslink densities (solid lines) and their distributions (dashed lines). (b) [TeX:] $$\mathrm{I}_{\mathrm{nDQ}}$$ signal at DQ evolution times for SBR 0h, W504h, and (c) the defect fraction obtained from normalization. No defects are detected in SBR [ 58].
12.png

Naira Machado da Silva Ruiz와 동료 연구진은 아크릴로 니트릴(ACN) 함량이 서로 다른 니트릴 부타디엔 고무(nitrile butadiene rubber, NBR) 샘플(28%(L), 33%(M), 45%(H))을 대상으로 [TeX:] $$120^{\circ} \mathrm{C}$$ 조건에서 열화 시간(7일, 90일)에 따른 구조 변화 양상을 분석하였다. 열화 공정을 거치지 않은 초기 상태의 세 샘플(H, M, L-NBR)은 전반적으로 [TeX:] $$\mathrm{D}_{\text {res }} \approx 0.40 \mathrm{kHz}$$의 결합력과 [TeX:] $$\mathrm{r}_{\mathrm{G}} \approx 0.69 \sim 0.77$$의 불균일 수치를 갖는 것을 확인하였다. 이후 7일간 열화를 거친 결과, 세 샘플에서 공통적으로 1.0~2.5 kHz 영역의 강한 결합 영역이 생성됨과 동시에 [TeX:] $$\mathrm{r}_{\mathrm{G}}$$ 값이 0.1~0.2 증가하며 넓은 가교 분포 개형으로 진화함을 확인하였다. 또한 90일 열화 결과, 초기에서 7일 열화로 갈 때 증가한 [TeX:] $$\mathrm{D}_{\text {res }}$$ 값의 절반인 약 0.05 kHz가 증가한 움직임이 더욱 제한된 [TeX:] $$\mathrm{D}_{\text {res }}$$ 수치를 보였으며 [TeX:] $$\mathrm{r}_{\mathrm{G}}$$ 값도 마찬가지로 증가한 불균일한 가교 구조로 진화함을 확인하였다(Figure 13(a)−(c)).

이후 졸(sol) 영역을 제거한 두 가지의 기울기 영역으로 나뉜 [TeX:] $$\mathrm{I}_{\mathrm{ref}}-\mathrm{I}_{\mathrm{DQ}}$$ 그래프에서 선형 추세선을 적용하여 결함 영역을 정량적으로 비교하였다. 해당 그래프에서 구분되는 두 가지의 기울기는 가교와 결함 성분의 서로 다른 완화 거동을 나타내며 보다 완만한 경사를 가지는 영역은 비교적 느린 [TeX:] $$\mathrm{T}_2$$ 완화 거동을 하는 결함 성분이 반영된 것이라 할 수 있다. 해당 구간에 대해 선형 추세선을 적용하여 결함 함량을 비교한 결과, 열화 시간이 증가함에 따라 가교 네트워크 내 결함 영역이 초기 강도 0.1보다 큰 수치에서 점차 0.1 아래로 감소하는 경향을 확인하였으며 해당 감소 경향은 고함량 샘플(H)에서 더욱 크게 발현됨을 DQ-NMR 분석을 통해 확인하였다(Figure 13(d)−(f))[59].

필러(Filler) 첨가 탄성체의 조건에 따른 변화 분석: Lorena M.A. Silva와 동료 연구진은 카본 블랙 필러를 첨가한 가황 NR 고무 (CBVNR)를 대상으로 바이오디젤 침지 영향을 DQ-NMR을 통해 분석하였다. 석유 디젤을 대체할 수 있는 새로운 재생 자원인 바이오디젤 내 메틸 리놀레산 같은 불포화 분자는 산화에 취약한 특상 탓에 고무 부품을 부식시킬 가능성을 내포하고 있다. 이러한 영향성을 확인하기 위해 디젤/바이오디젤 비율이 서로 다른 혼합물(100:0, 80:20, 0:100)에 시료를 침지한 뒤, 침지 시간을 달리하여(30일, 90일) 샘플(CBVNR/DBX/접촉시간(일))을 준비하였다. FID 경향을 비교한 결과, 전반적으로 바이오디젤 함량과 침지 시간이 증가할수록 FID 감쇠 속도가 느려지는 경향을 Figure 12(a)에 제시된 [TeX:] $$\mathrm{I}_{\mathrm{ref}}$$ 분석을 통해 확인하였다. 일반적으로 고체와 같은 구조가 고정된 상을 가진 경우, 빠른 FID 감쇠 경향을 갖는데 Figure 14(a)에서 볼 수 있듯이, 아무것도 침지되지 않은 CBVNR이 다른 침지 과정을 거친 8개의 샘플에 비해 더욱 빠른 FID 감쇠를 보이는 것을 확인할 수 있다. 뿐만 아니라 Figure 14(a)에서 침지 용매의 바이오디젤 함유량에 대한 영향성을 살펴보았을 때, 디젤:바이오디젤 비율이 각각 100:0, 95:5, 80:20, 0:100인 혼합 용액에 침지시킨 샘플(CBVNR/DB0/30, CBVNR/DB5/30, CBVNR/ DB20/30, CBVNR/DB100/30)에 대해서 바이오디젤 함유량이 증가할수록 [TeX:] $$\mathrm{I}_{\mathrm{ref}}$$ 감쇠 곡선이 점차 위로 올라가는 경향(FID 감쇠가 느려지는 경향)을 확인하였다. 침지 시간이 다른 CBVNR, CBVNR/DB20/30, CBVNR/DB20/90 세 가지 샘플을 비교해보았을 때도 마찬가지로 침지시간이 길어짐에 따라 FID 감쇠도 점차 느려지는 모습을 확인할 수 있었다. 동시에 Figure 14(b)에서 나타낸 결함 값으로부터, 30일 침지 시 0.8의 결함율을, 90일 침지 시 0.95 이상의 결함율을 가지는 것을 알 수 있다. 이처럼 DQ-NMR 측정 시에 [TeX:] $$\mathrm{I}_{\mathrm{DQ}}$$와 함께 관측되는 [TeX:] $$\mathrm{I}_{\mathrm{ref}}$$ FID 감쇠 비교를 통해서도 바이오디젤 침지로 인한 구조 파괴 경향을 확인할 수 있고 동시에 침지 시키지 않은 CBVNR의 [TeX:] $$\mathrm{I}_{\mathrm{DQ}}$$ 그래프[TeX:] $$\left(\mathrm{I}_{\mathrm{DQ}, \max } \approx 0.2\right)$$에서도 완화 시간에 따른 신호값이 감소하는 모습을 통해 바이오 디젤의 부식 영향성을 평가할 수 있다.

Figure 13.

(a)-(c) Distribution curves of [TeX:] $$D_{R E S} / 2 \pi$$ in NBR compositions obtained by applying the FITKREG regularization to the normalized [TeX:] $$\mathrm{I}_{\mathrm{nDQ}}$$ vs [TeX:] $$2 \tau_{\mathrm{DQ}}$$ curves shown as inset; (a) high (H), (b) medium (M), and (c) low (L) ACN content after shorter (7 days), intermediate (30 days) and prolonged (90 days) thermal aging and the respective control samples. The fitting curves corresponding to each distribution are show as lines in the insets. (d)-(e) [TeX:] $$\mathrm{I}_{\mathrm{REF}}-\mathrm{I}_{\mathrm{DQ}}$$ curves and long [TeX:] $$2 \tau_{\mathrm{DQ}}$$ regions fit of NBR compositions upon thermos-oxidative treatment at [TeX:] $$120^{\circ} \mathrm{C}$$; (a) high (H), (b) medium (M), and (c) low (L) ACN content after shorter (7 days) and prolonged (90 days) thermal aging and the respective control samples [ 59].
13.png

침지 시간에 따른 샘플 별 빌드-업 그래프의 양상은 Figure 15(a)−(c)에 나타냈으며 Figure 15(d)에는 침지 시키지 않은 CBVNR[TeX:] $$\left(\mathrm{D}_{\mathrm{res}} \approx 0.17 \mathrm{kHz}\right)$$ 대비 침지 시간에 따른 [TeX:] $$\mathrm{D}_{\mathrm{res}}$$ 기반 가교 분포의 변화를 나타냈다. 특히 Figure 15(d)에서 긴 꼬리 개형의 불균일한 가교 구조를 가지는 CBVNR/30, CBVNR/60 샘플과는 달리 CBVNR/90에서는 [TeX:] $$\mathrm{D}_{\mathrm{res}} \approx 0.05 \mathrm{kHz}, \mathrm{D}_{\mathrm{res}} \approx 0.25\mathrm{kHz}$$ 두 가지의 주요 가교 영역으로 구분되는 양상이 확인되었다[60].

Sankar Raman Vaikuntam과 동료 연구진은 무기 충전제 중 하나인 실리카가 함유된 실리카-고무 복합재에 대해 연구하였다. 해당 연구팀은 SBR 콜로이드 용액 내에서 실리카를 합성하는 과정에서 형성되는 라즈베리형 실리카 입자를 학계에 보고하였으며 라즈베리형 실리카 입자가 고분자 사슬의 이동성에 어떤 제약을 미치는지를 규명하기 위해, DQ 실험과 Flory-Rehner 기반의 평형 팽윤법을 병행하여 분석을 수행하였다. SBR에 침강 실리카 [TeX:] $$\left(\mathrm{pSiO}_2\right)$$만을 첨가한 경우, Figure 16(a)에서 나타난 바와 같이 [TeX:] $$\mathrm{D}_{\mathrm{res}}$$ 값이 250 Hz에서 210 Hz로 감소하는 경향을 보였다. 반면에 실란 커플링제인 TESPT를 함께 첨가한 샘플에서는 290 Hz에서 300 Hz로 화학적 결합 수치 [TeX:] $$\mathrm{D}_{\mathrm{res}}$$의 미비한 변화를 보였지만 Flory-Rehner 기반 팽윤 측정에서는 [TeX:] $$\mathrm{pSiO}_2$$ 증가에 따라 팽윤 가교 밀도 수치가 0.15 mol∙kg-1에서 0.27 mol∙kg-1으로 증가하는 흥미로운 경향을 확인하였다. 상업용 실리카만을 첨가했을 때 나타나는 [TeX:] $$\mathrm{D}_{\mathrm{res}}$$ 감소 현상은 CBS, 아연염 등 극성 화학물질의 실리카 표면 흡착으로 인해 가황 과정의 경화 반응을 저해하며 나타난 것으로 해석되었고 실란 커플링제인 TESPT와의 반응을 통해 실리카와 고무 사슬 간의 계면 결합이 형성되었음을 Figure 16(a)에서 보여주고 있다. Figure 16(b)은 개질된 알콕시 실리카 입자 사용이 DQ 곡선에 미치는 양상을 나타낸 그래프로, 상업용 실리카에 비해 단위 면적당 약 3.7배 높은 Si-OH(실라놀) 수를 가지는 알콕시 실리카를 첨가한 경우 [TeX:] $$\mathrm{D}_{\mathrm{res}}$$ 값이 감소한 상업용 실리카의 개형과 달리 평균 [TeX:] $$\mathrm{D}_{\mathrm{res}} \approx 300 \mathrm{~Hz}$$ 값이 유지됨을 보였다. 이러한 양상은 알콕시 기반 실리카가 내부 고무 사슬을 포집함과 동시에 실리카-고무 계면 결합을 향상시켰음을 의미한다. 뿐만 아니라 커플링제 TESPT를 도입하였을 때, 알콕시 기반 실리카 입자를 넣었을 때보다 약 10 Hz만큼 더욱 향상된 [TeX:] $$\mathrm{D}_{\mathrm{res}}$$ 수치 변화 양상을 확인하였는데 이는 해당 샘플이 더 높은 가교 밀도를 가짐을 의미한다.

Figure 14.

(a) 1H [TeX:] $$\mathrm{I}_{\text {ref }} \text { and } \mathrm{I}_{\mathrm{DQ}}$$ TD-NMR curves for CBVNR as-measured before and after immersion in fuel mixtures. (b) Plot of the defect fraction [TeX:] $$\mathrm{f}_\mathrm{d}$$ and the [TeX:] $$\mathrm{T}_{2 \mathrm{DQ}}$$ arising from [TeX:] $$\mathrm{I}_{\text {ref }}-\mathrm{I}_{D Q}$$ obtained for the different samples. The samples denomination is described in the experimental section [ 60].
14.png

Figure 15.

Normalized DQ-NMR build-up curves for non exposed CBVNR (black filled squares) and after immersion time of 30 (a), 60 (b), and 90 days (c) to different biodiesel contents, and (d) its respective [TeX:] $$\mathrm{D}_{\mathrm{res}}$$ distribution. Legends: DB0 (red circles); DB20 (green triangles upside down); and DB100 (blue triangles facing left) [ 60].
15.png

Figure 16은 침강 실리카와 알콕시 실리카 첨가 조건에서 [TeX:] $$\mathrm{D}_{\mathrm{res}}$$와 가교 밀도의 선형 관계를 비교한 그래프로 이중 작용성 실란 커플링제인 Bis[3-(triethoxysilyl)propyl]tetrasulfide(TESPT)가 첨가됨에 따라 실리카 필러와 고무 간 계면에서 가교 결합이 더욱 활성화되며 가교 능력이 향상됨을 보여주고 있다. TESPT 외에도 diethyl dimethoxy silane (DMS), (3-aminopropyl)triethoxysilane (APTS), n-octodecyltriethoxsilane (ODTES), 3-octanoylthio-1-propyltriethoxysilane (NXT), (3-mercaptopropyl)trimethoxysilane (MPTS), bis[3-(triethoxysilyl) propyl]disulfide (TESPD), bis[3-(triethoxysilyl)propyl]tetrasulfide (TESPT) 등의 다양한 실란 커플링제를 적용한 후 DQ-NMR을 통해 가교 밀도를 평가해본 결과 팽윤 가교 밀도 값이 눈에 띄게 증가하는 경향을 확인하였으며, 단일 작용성 실란 커플링제(빨간 원)에 비해 이중 작용성 실란 커플링제(파란 원)에서 더욱 향상된 결합이 형성됨을 발견하였다. 이처럼 Figure 16(c), (d)를 통해서 고무-실리카 간 계면 결합이 더욱 활성화 됨에 따라 더욱 치밀한 가교구조가 형성됨을 확인할 수 있다[61].

Figure 16.

Plots of crosslink density by DQ-NMR versus Flory-Rehner-based equilibrium swelling method for (a) precipitated silica [TeX:] $$\left(\mathrm{pSiO}_2\right)$$ composites with and without TESPT coupling agent and (b) alkoxy silica [TeX:] $$\left(\mathrm{abSiO}_2\right)$$ with and without TESPT coupling agent. The linear fitted line (master line) represents unfilled rubber samples vulcanized with different amounts of sulfur. Influence of various coupling agents on the crosslink density of SSBR measured by DQ-NMR as a function of Flory-Rehner-based equilibrium swelling method for 30 phr of (c) alkoxy-based silica [TeX:] $$\left(\mathrm{abSiO}_2\right)$$ composites and (d) precipitated silica [TeX:] $$\left(\mathrm{pSiO}_2\right)$$ composites [ 61].
16.png
3.3. 그 외 탄성체

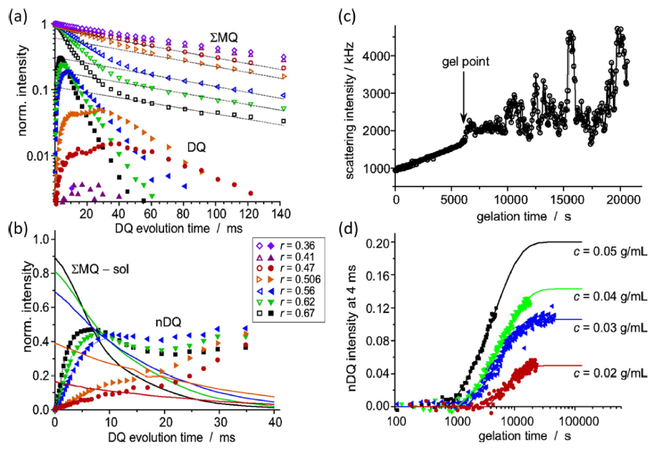
젤 분석: Kay Saalwächter와 동료 연구진은 비닐 말단기를 갖는 PDMS 시료를 대상으로 DQ-NMR 실험을 적용하여 겔화(gelation) 과정을 연구하였다. 해당 연구에서는 DQNMR 분석을 활용한 빌드-업 곡선 분석뿐 아니라, 유변학적 해석과 동적 광산란(dynamic light scattering, DLS) 기법을 병행하여 겔화 반응의 발생을 다각도로 분석하였다. 특히, DQ-NMR 실험을 통해 고분자의 겔화 과정을 정량적으로 추적하고, 이에 따른 구조적 변화를 효과적으로 관찰하였다. 비닐기(vinyl group)와 실레인(silane)의 몰 비를 나타내는 r 값을 기준으로 각 샘플에서 측정된 [TeX:] $$\mathrm{I}_{\mathrm{ref}} \text { 및 } \mathrm{I}_{\mathrm{DQ}}$$의 변화 양상을 비교한 결과, 졸 영역 제거 없이 나타내어진 조건에서 r 값이 0.47 이상인 경우 [TeX:] $$\mathrm{I}_{\mathrm{DQ}}$$ 곡선이 빌드-업이 이루어짐을 확인하였고, 이는 0.47 이상의 비율에서부터 안정적인 네트워크 구조가 형성됨을 제시하는 결과이다(Figure 17(a)). 하지만 Figure 17(b)에 나타난 바와 같이 졸 영역이 제거된 [TeX:] $$\mathrm{I}_{\mathrm{nDQ}}$$ 그래프를 확인해보았을 때, r 값이 0.506 이하 조건에서는 [TeX:] $$\mathrm{I}_{\mathrm{nDQ}}$$ 개형이 파괴됨을 확인함과 동시에 r값이 0.56 이상일 때 비로소 안정적인 겔 네트워크 구조가 형성됨을 확인하였다(Figure 17(b)). 이후 톨루엔 [TeX:] $$-\mathrm{d}_8$$ 용매에 대해 0.02 g/mL의 농도로 설정한 용액에 대해 DLS 측정을 수행한 결과, 겔화가 발생하는 임계점인 약 6000초 부근에서 겔 포인트(Gel Point)를 식별할 수 있었고(Figure 17(c)) 해당 지점은 Figure 17(d)에서 DQ-NMR 단일 시간 지점(4 ms) 측정 실험을 통해 얻어진 그래프 변화 지점인 5800초 부근 영역과 유사함을 보여줌을 통해 DQ NMR이 PDMS의 겔화 현상을 관찰하는데 효과적임을 제시하였다. 또한, 농도가 증가함에 따라 겔 형성 시간도 점차 빠르게 발현됨 역시 DQ-NMR을 통해서 확인할 수 있었다. 해당 연구를 통해, DQ-NMR 실험이 겔화 현상을 분자 수준에서 민감하고 정밀하게 감지할 수 있는 분석 기법임이 입증되었으며, 기존 겔 분석법을 보완하고 교차 검증 가능한 수단으로 충분한 활용 가능성을 지님을 확인하였다[62].

Figure 17.

MQ NMR build-up and decay data for the gelation. (a) Acquired [TeX:] $$I_{\Sigma M O} \text { and } I_{D O}$$. (b) Acquired [TeX:] $$I_{\Sigma M O} \text { and } I_{D O}$$ after subtraction of the sol component. Gelation kinetics of dilute solutions of P(S-co-AMS) in toluene-d8 crosslinked with terephtaldialdehyde. (c) Gel point as inferred from the appearance of a speckle pattern in DLS (c = 0.02 g∙ml -1). (d) NMR gelation kinetics derived from real-time single-point measurements of [TeX:] $$\mathrm{I}_{\mathrm{nDQ}}$$(4 ms) (no sol correction) at different concentrations [ 62].
17.png

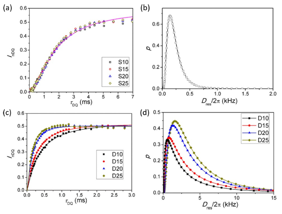
배위 결합 및 동적 결합에 따른 가교 변화 연구: Xueting Zou와 동료 연구진은 아크릴산(acrylic acid, AAc)과 아크릴 아마이드(acrylamide, AAm)의 비율이 다른 단일 화학적 결합으로 구성된 SC 샘플과, [TeX:] $$\mathrm{Fe}^{3+}$$ 이온의 영향으로 배위 결합이 추가된 이중 가교(dual crosslinked, DC) 샘플 간의 가교도 차이를 분석하였다. Figure 18(a)에 나타난 것처럼 단일 화학적 가교(chemically single crosslinked, SC) 샘플군에서는 전반적으로 유사한 빌드-업 곡선을 나타냄을 볼 수 있는데 이는 단량체 조성 비율이 가교 구조 변화에 큰 영향을 미치지 않음을 나타낸다. 해당 빌드-업 곡선의 평균값을 취하여 변환한 가교 분포 그래프 역시 Figure 18(b)에 제시 되었는데 0~1.0 kHz 범위의 [TeX:] $$\mathrm{D}_{\mathrm{res}}$$를 갖는 비교적 균일한 분포의 가교 구조가 형성됨을 확인할 수 있었다. Figure 18(c)에서는 [TeX:] $$\mathrm{FeCl}_3$$를 다양한 농도로 첨가하여 하이드로겔 상에서 강한 배위 결합을 형성한 DC 샘플군의 빌드-업 곡선을 비교하였다. DQ-NMR 측정 결과 AAc/Aam 비율(10, 15, 20, 25)이 증가함에 따라 빌드-업 곡선이 위로 솟은 그래프 개형을 확인할 수 있으며 해당 비율이 낮은 D10 샘플에서 부터 시작해 D15, D20, D25 각각의 샘플에 대하여 [TeX:] $$\mathrm{D}_{\mathrm{res}}$$ 값이 0.58, 0.80, 1.32, 1.59 kHz로 점차 증가하는 경향을 확인하였다. 이러한 수치적 결과는 평균 [TeX:] $$\mathrm{D}_{\mathrm{res}}$$ 값이 0.14 kHz인 SC 샘플에 비해 명확히 높은 수준의 가교 밀도를 형성함을 보이며 배위 결합이 효과적으로 형성되었음을 의미한다.

이후 Figure 18(d)에 나타난 Dres 기반 가교 분포를 개형을 비교해보았을 때, AAc 함량이 높아질수록 뚜렷한 구조 변화가 관측됨을 알 수 있다. D10에서 D25로 갈수록 분포 곡선의 피크점 위치에 해당하는 Dres 값이 증가하는 모습을 보였으며 높은 가교 밀도 수치를 가진 영역 비율이 상대적으로 증가하는 것을 볼 수 있다. 이러한 현상은 배위 결합으로 인해 형성된 결합 부위가 효과적인 가교점 역할을 수행하기 때문에 발현된 것으로 해석되며 DQ-NMR을 통해 화학적 공유 결합 외에도 물리적 동적 결합 유무를 확인하고 성능을 비교 및 분석할 수 있음을 보여준다[63].

Figure 18.

Normalized DQ intensity as a function of DQ excitation time for the SC (a) and DC (c) hydrogels. The corresponding [TeX:] $$\mathrm{D}_{\mathrm{res}}$$ distribution curves are shown on the right for SC (b) and DC (d) hydrogels. The solid lines indicate the fitting results in panels (a) and (c), whereas they are used as guides for the eyes in panels (b) and (d). All measurements were performed at room temperature [ 63].
18.png

Rongchun Zhang과 동료 연구진은 poly(n-butyl acrylate) (PBA)를 기반으로 한 고분자 네트워크에 2-ureido-4[1H]-pyrimidinone (UPy) 다이머(dimer), 디보론산 에스테르 (diboronic ester, DE), 그리고 p-디비닐벤젠(p-divinylbenzene, DVB)을 도입한 가교체를 제조하고, PBA-DE, PBA-DVB, PBA-UPy, PBA-UPy-DVB, PBA-UPy-DE의 다섯 가지 샘플을 대상으로 DQ-NMR 실험을 수행하였으며, 이를 통해 각 구성 요소가 고분자 사슬 운동성에 미치는 영향을 분석하였다. Figure 19(a)−(c)에 나타내진 [TeX:] $$80^{\circ} \mathrm{C}$$ 조건하에서 PBA 기반 DE, DVB, UPy 도입에 따른 [TeX:] $$I_{DQ}$$ 그래프 양상을 비교해보았을 때, PBA-UPy와 PBA-DE의 경우 PBA-DVB에 비해 [TeX:] $$\mathrm{I}_{\mathrm{DQ}, \max }$$가 비교적 초기 완화시간(1 ms에 가까운)에서 발현되는 것을 확인하였는데, 이는 UPy 및 DE가 DVB 보다 상호결합력이 높아 PBA 사슬의 운동성을 더욱 제한하였기 때문으로 생각되어진다. 마찬가지로 UPy와 DE를 함께 도입된 PBA의 경우에도(PBA-UPy-DE) [TeX:] $$\mathrm{I}_{\mathrm{DQ}, \text { max }}$$가 빠른 완화시간(약 1 ms)을 가지는 것을 확인할 수 있었고, UPy와 DE의 높은 가교 결합력으로 인해 PBA 사슬의 움직임이 크게 제한되었음을 확인할 수 있었다(Figure 19(e)). 그러나 PBAUPy-DE와 달리 UPy와 DVB가 함께 도입된 PBA-UPy-DVB의 경우, 측정 온도에 따라서 [TeX:] $$\mathrm{I}_{\mathrm{DQ}, \text { max }}$$ 발현 시점이 다른 샘플들과는 달리 일관된 규칙이 없음이 확인되었다(Figure 19(d)). 이러한 결과는 PBA-UPy-DVB 샘플의 움직임 제약성이 온도에 따라 무작위로 변하는 것을 의미한다. 이들 동적결합 가교체의 [TeX:] $$\mathrm{I}_{\mathrm{DQ}}$$ 값이 최대값([TeX:] $$\mathrm{I}_{\mathrm{DQ}, \text { max }}$$)을 보이는 시간인 [TeX:] $$\tau_{\max }$$는 Figure 19(f)에 나타냈다. PBA-UPy-DVB를 제외한 대부분의 샘플에서는 측정 온도의 상승에 따라 [TeX:] $$\mathrm{I}_{\mathrm{DQ}, \text { max }}$$ 값이 증가함과 동시에 [TeX:] $$\tau_{\max }$$ 값이 지연되는 경향을 보였다. 반면, PBA-UPy-DVB 샘플은 이와 다른 양상을 보였으며, 이는 해당 샘플이 다른 가교 메커니즘을 갖거나 유효한 가교 구조를 형성하고 있지 않음을 DQ-NMR 실험을 통해 유추해볼 수 있다[64].

Figure 19.

DQ intensity as a function of the DQ excitation time for (a) PBA-DE, (b) PBA-DVB, (c) PBA-UPy, (d) PBA-UPy-DVB, and (e) PBA-UPy-DE samples. (f) [TeX:] $$\tau_{\max }$$, determined as the DQ excitation time with the maximum DQ intensity, as a function of temperature[ 64].
19.png

상기 결과들은 DQ-NMR 실험이 상용화된 고무의 가교밀도를 분석하는 것뿐만 아니라 젤이라든지, 동적 가교를 이루고 있는 새로운 개념의 탄성체에도 적용이 가능함을 보여준다. 특히, DQ-NMR이 탄성체의 가교 밀도를 단순히 정량화시키는 정도의 수준을 넘어, 연구 목적에 따른 시료 간 구조적 차이 및 변화를 세밀히 분석할 수 있으며, 가교 구조의 특이성을 식별하고 미세한 변화까지 감지할 수 있는 정밀한 기법임을 보여준다. 이러한 점에서 고체 기반 DQ-NMR은 탄성체 구조를 고도로 분석할 수 있는 새로운 기법으로서 다양한 분야에 더 많이 활용될 수 있을 것으로 기대된다.

4. 결 론

본 논고에서는 산업 전반에서 활발히 개발 및 활용되고 있는 대표적 소재인 탄성체의 물성을 평가하는 방법 중 하나로, DQ-NMR을 활용한 가교체 분석법의 다양한 사례를 제시하고, 그 타당성과 활용 가능성을 소개하였다. 실제 탄성체의 경우, 이상적인 네트워크 구조와는 달리 엉킴, 필러의 첨가, 분자 간 상호작용 등 다양한 요인으로 인해 구조적 불균일성을 포함하는 가교 네트워크를 형성하는 것이 일반적이다. 이러한 복잡한 네트워크 특성으로 인해, 기존의 가교밀도 측정법에서는 본질적으로 오차가 발생할 수밖에 없었다. 본 논고에서 다룬 DQ-NMR 실험은 핵스핀의 완화 거동을 기반으로 하며, 분자 수준의 미세한 움직임을 밀리초(ms) 단위로 감지할 수 있는 민감한 측정 기법이다. 본 기법은 특히 미세 가교 영역에서 발생하는 변화를 정량적으로 반영할 수 있으며, 비파괴적이라는 점에서 실용적인 장점도 같이 제공한다. 더 나아가서 DQ 실험의 주요 강점 중 하나는 가교밀도 값뿐만 아니라, 가교 밀도를 반영한 분포 곡선을 도출할 수 있다는 점이다. 이는 단순 수치화 된 결과에 그치지 않고, 미세 영역별 가교 네트워크 형성 상태를 분석하고 이를 바탕으로 탄성체의 구조를 해석할 수 있는 기반을 마련해 준다.

최근에는 둘 이상의 성분이 조합된 복합 탄성체가 활발히 개발되고 있으며, 이에 따른 물성 해석에 있어서 보다 정밀한 측정과 해석이 요구되고 있다. 사용 목적에 부합하는 탄성체를 선택하고 정확한 물성을 평가하기 위해서는, 재료의 구조적 특징 및 내부 상호작용을 반영할 수 있는 정교한 분석 기법이 마련되어야 한다.

특히 측정 수치인 [TeX:] $$\mathrm{D}_{\mathrm{res}}$$ 값을 가교 분자량으로 변환하기 위해서 관련 수식의 파라미터를 심도 있게 규명할 필요가 있다. 현재 산업적으로 널리 사용되는 SBS, ABS, EPDM 등의 공중합체에서는 이러한 파라미터 값이 충분히 확보되지 않아, 변환 과정에서 어려움을 겪고 있다. 이를 해결하기 위해서는 자기상관함수(auto correlation function, ACF)와 같은 방법을 활용하여 분자 운동성을 정밀하게 분석함과 동시에 분자 구조의 세부적 구조 인자를 체계적으로 탐구하는 노력이 지속되어야 한다. 이와 같은 연구가 지속적으로 발전한다면 DQ-NMR 분석의 적용 범위를 다양한 복합 탄성체로 확장할 수 있을 것으로 기대된다. 따라서 불균일성이 내재된 탄성체 시스템을 정량적으로 해석하기 위한 수단으로 DQ-NMR 실험은 매우 활용성이 높고 효과적인 분석법이 될 것으로 생각되어진다.

감사의 글: 본 연구는 산업통상자원부 및 한국산업기술진흥원으로부터 지원을 받아 수행되었습니다(RS-2025-02263144).

References

  • 1 H. A. Tran, T . T . Hoang, A. Maraldo, T . N. Do, D. L. Kaplan, K. S. Lim, and J. Rnjak-Kovacina, "Emerging Silk Fibroin Materials and Their Applications: New Functionality Arising from Innovations in Silk Crosslinking", Materials Today, 2023, 65, 244−259.custom:[[[-]]]
  • 2 F. J. Kahle, C. Saller, A. Köhler, and P . Strohriegl, "Crosslinked Semiconductor Polymers for Photovoltaic Applications" , Adv. Energy Mater., 2017, 7, 1700306.custom:[[[-]]]
  • 3 K. Vanherck, G. Koeckelberghs, and I. F. Vankelecom, "Crosslinking Polyimides for Membrane Applications: A Review" , Prog. Polym. Sci., 2013, 38, 874−896.custom:[[[-]]]
  • 4 W . Hu, C. Chen, Y. Wang, W . He, Z. He, J. Chen, Z. Li, J. Li, and W. Li, "Development of High Internal Phase Emulsions with Noncovalent Crosslink of Soy Protein Isolate and tannic Acid: Mechanism and Application for 3D Printing", Food Chemistry, 2023, 427, 136651.custom:[[[-]]]
  • 5 K. S. Lim, J. H. Galarraga, X. Cui, G. C. Lindberg, J. A. Burdick, and T. B. Woodfield, "Fundamentals and Applications of Photo-cross-linking in Bioprinting", Carbohydr. Polym., 2020, 120, 10662−10694.custom:[[[-]]]
  • 6 L. Gu, T. Shan, Y.-x. Ma, F. R. Tay, and L. Niu, "Novel Biomedical Applications of Crosslinked Collagen", Trends in Biotechnol., 2019, 37, 464−491.custom:[[[-]]]
  • 7 G. Trujillo-de Santiago, R. Sharifi, K. Yue, E. S. Sani, S. S. Kashaf, M. M. Alvarez, J. Leijten, A. Khademhosseini, R. Dana, and N. Annabi, "Ocular Adhesives: Design, Chemistry, Crosslinking Mechanisms, and Applications", Biomaterials, 2019, 197, 345−367.custom:[[[-]]]
  • 8 W. Ding, J. Zhou, Y. Zeng, Y.-N. Wang, and B. Shi, "Preparation of Oxidized Sodium Alginate with Different Molecular Weights and Its Application for Crosslinking Collagen Fiber" , Carbohydr. Polym., 2017, 157, 1650−1656.custom:[[[-]]]
  • 9 T. Feng, S. Zhu, Q. Zeng, S. Lu, S. Tao, J. Liu, and B. Yang, "Supramolecular Cross-link-regulated Emission and Related Applications in Polymer Carbon Dots", ACS Appl. Mater. Interf., 2017, 10, 12262−12277.custom:[[[-]]]
  • 10 A. R. Kulkarni, K. S. Soppimath, T. M. Aminabhavi, A. M. Dave, and M. H. Mehta, "Glutaraldehyde Crosslinked Sodium Alginate Beads Containing Liquid Pesticide for Soil Application" , J. Controlled Release, 2000, 63, 97−105.custom:[[[-]]]
  • 11 M. Akiba and A. S. Hashim, "Vulcanization and Crosslinking in Elastomers" , Prog. Polym. Sci., 1997, 22, 475−521.custom:[[[-]]]
  • 12 A. M. Joseph, B. George, K. Madhusoodanan, and R. Alex, "Current Status of Sulphur Vulcanization and Devulcanization Chemistry: Process of Vulcanization", Rubber Sci., 2015, 28, 82−121.custom:[[[-]]]
  • 13 J. Schweitzer, S. Merad, G. Schrodj, F. Bally-Le Gall, and L. Vonna, "Determination of the Crosslinking Density of a Silicone Elastomer" , J. Chem. Edu., 2019, 96, 1472−1478.custom:[[[-]]]
  • 14 H. Z. Chu, D. Liu, Z. W . Cui, K. Wang, G. X. Qiu, and G. Y. Liu, "Effect of Crosslink Density on Solubility Parameters of Styrene Butadiene Rubber and the Application in Pre- screening of New Potential Additives" , Polym. Test., 2020, 81, 106253.custom:[[[-]]]
  • 15 X. Jiang, X. Yuan, X. Guo, F. Zeng, H. Wang, and G. Liu, "Study on the Application of Flory-Huggins Interaction Parameters in Swelling Behavior and Crosslink Density of HNBR/EPDM Blend", Fluid Phase Equilibria, 2023, 563, 113589.custom:[[[-]]]
  • 16 W. Chasse, M. Lang, J.-U. Sommer, and K. Saalwachter, "Cross-link Density Estimation of PDMS Networks with Precise Consideration of Networks Defects" , Macromolecules, 2012, 45, 899−912.custom:[[[-]]]
  • 17 S. D. Reinitz, E. M. Carlson, R. A. Levine, K. J. Franklin, and D. W. Van Citters, "Dynamical Mechanical Analysis as an Assay of Cross-link Density of Orthopaedic Ultra High Molecular Weight Polyethylene" , Polym. Test., 2015, 45, 174− 178.custom:[[[-]]]
  • 18 H. M. James and E. Guth, "Theory of the Increase in Rigidity of Rubber During Cure" , J. Chem. Phys., 1947, 15, 669.custom:[[[-]]]
  • 19 P. Flory, "Elasticity of Polymer Networks Cross-linked in States of Strain" , Transactions of the Faraday Society, 1960, 56, 722.custom:[[[-]]]
  • 20 Z. Xia, M. Patchan, J. Maranchi, J. Elisseeff, and M. Trexler, "Determination of Crosslinking Density of Hydrogels Prepared from Microcrystalline Cellulose" , J. Appl. Polym. Sci., 2013, 127, 4537−4541.custom:[[[-]]]
  • 21 S. Lawandy and S. Halim, "Effect of V ulcanizing System on the Crosslink Density of Nitrile Rubber Compounds", J. Appl. Polym. Sci., 2005, 96, 2440−2445.custom:[[[-]]]
  • 22 K. Saalwächter, "Proton Multiple-quantum NMR for the Study of Chain Dynamics and Structural Constraints in Polymeric Soft Materials", Progress in Nuclear Magnetic Resonance Spectroscopy, 2007, 51, 1−35.custom:[[[-]]]
  • 23 R. H. Garcia, J. G. Filgueiras, E. R. deAzevedo, and L. A. Colnago, "Power-optimized, Time-reversal Pulse Sequence for a Robust Recovery of Signals from Rigid Segments Using Time Domain NMR" , Solid State Nuclear Magnetic Resonance, 2019, 104, 101619.custom:[[[-]]]
  • 24 I. M. Riley, M. A. Nivelle, N. Ooms, and J. A. Delcour, "The Use of Time Domain 1H NMR to Study Proton Dynamics in Starch‐rich Foods: A Review" , Comprehensive Reviews in Food Science and Food Safety, 2022, 21, 4738−4775.custom:[[[-]]]
  • 25 D. W. McCall, "Nuclear Magnetic Resonance Studies of Molecular Relaxation Mechanisms in Polymers", Accounts of Chem. Res., 1971, 4, 223−232.custom:[[[-]]]
  • 26 R. Okada, S. Matsukawa, and T. Watanabe, "Hydration Structure and Dynamics in Pullulan Aqueous Solution Based on 1H NMR Relaxation Time" , J.Mol. Struct. 2022, 602, 473− 483.custom:[[[-]]]
  • 27 H. Chung, F . W ehrli, J. W illiams, and S. Kugelmass, "Relationship between NMR Transverse Relaxation, Trabecular Bone Architecture, and Strength", Proceedings of the National Academy of Sciences, 1993, 90, 10250−10254.custom:[[[-]]]
  • 28 Y. Y. Gotlib, M. Lifshits, V. Shevelev, I. Lishanskii, and I. Balanina, "The Influence of the Chemical Crosslinking Network on the Spin-spin Relaxation of Crosslinked and Swelling Polymer Systems", Polymer Science USSR, 1976, 18, 2630−2636.custom:[[[-]]]
  • 29 A. Charlesby, R. Folland, and J. Steven, "Analysis of Crosslinked and Entangled Polymer Networks as Studied by Nuclear Magnetic Resonance", Proceedings of the Royal Society of London, A. Mathematical and Physical Sciences, 1977, 355, 189−207.custom:[[[-]]]
  • 30 V. Fedotov, V. Chernov, and T. Khazanovich, "Effect of Slow Molecular Motion on Damping of Transverse Nuclear Magnetization in Amorphous Polymers", Polymer Science USSR, 1978, 20, 1037-1045.custom:[[[-]]]
  • 31 J. Cohen‐Addad, M. d. Domard, and S. Boileau, "Slow Dynamics of Entangled Polydimethylsiloxane Chains Observed by Proton Transverse Magnetic Relaxation", J. Chem. Phys., 1981, 75, 4107−4114.custom:[[[-]]]
  • 32 G. Simon, A. Birnstiel, and K.-H. Schimmel, "Network Characterisation of End-linked Poly (dimethylsiloxane) by 1H-NMR-spin-spin Relaxation" , Polym. Bull., 1989, 21, 235− 241.custom:[[[-]]]
  • 33 M. Brereton, I. Ward, N. Boden, and P . Wright, "Nature of the Proton NMR Transverse Relaxation Function of Polyethylene Melts. 1. Monodispersed Polyethylenes", Macromolecules, 1991, 24, 2068−2074.custom:[[[-]]]
  • 34 G. Simon, K. Baumann, and W . Gronski, "Mc Determination and Molecular Dynamics in Crosslinked 1, 4-cis-polybutadiene: a Comparison of Transversal Proton and Deuterium NMR Relaxation" , Macromolecules, 1992, 25, 3624−3628.custom:[[[-]]]
  • 35 P. Sotta, C. Fülber, D. Demco, B. Blümich, and H. W . Spiess, "Effect of Residual Dipolar Interactions on the NMR Relaxation in Cross-linked Elastomers" , Macromolecules, 1996, 29, 6222−6230.custom:[[[-]]]
  • 36 M. Knörgen, H. Menge, G. Hempel, H. Schneider, and M. E. Ries, "Relationship between the Transverse NMR Decay and the Dipolar Interaction in Elastomers: A Comparison of Two Models" , Polymer, 2002, 43, 4091−4096.custom:[[[-]]]
  • 37 P . Klein and M. Ries, "The Dynamics and Physical Structure of Polymers Above the Glass Transition—transverse Relaxation Studies of Linear Chains, Star Polymers and Networks", Progress in Nuclear Magnetic Resonance Spectroscopy, 2003, 42, 31−52.custom:[[[-]]]
  • 38 J. Cohen‐Addad, "Effect of the Anisotropic Chain Motion in Molten Polymers: The Solidlike Contribution of the Nonzero Average Dipolar Coupling to NMR Signals. Theoretical Description" , J. Chem. Phys., 1974, 60, 2440−2453.custom:[[[-]]]
  • 39 J. C. Addad, "NMR and Fractal Properties of Polymeric Liquids and Gels", Progress in Nuclear Magnetic Resonance Spectroscopy, 1993, 25, 1−316.custom:[[[-]]]
  • 40 J. Cohen-Addad, "Single Chain Diffusion Process and Proton Magnetic Relaxation in Polymer Melts" , Journal de Physique, 1982, 43, 1509−1528.custom:[[[-]]]
  • 41 J. Cohen-Addad and R. Dupeyre, "Strongly Entangled Polymer Chains in a Melt. Description of NMR Properties Associated with a Submolecule Model", Polymer, 1983, 24, 400−408.custom:[[[-]]]
  • 42 M. Brereton, "NMR Transverse Relaxation Function Calculated for the Rouse Model" , Macromolecules, 1989, 22, 3667−3674.custom:[[[-]]]
  • 43 M. Brereton, "NMR Transverse Relaxation Function Calculated for Constrained Polymer Chains: Application to Entanglements and Networks" , Macromolecules, 1990, 23, 1119−1131.custom:[[[-]]]
  • 44 P. G. Klein, C. H. Adams, M. G. Brereton, M. E. Ries, T. M. Nicholson, L. R. Hutchings, and R. W . Richards, "Rouse and Reptation Dynamics of Linear Polybutadiene Chains Studied by 2H NMR Transverse Relaxation" , Macromolecules, 1998, 31, 8871−8877.custom:[[[-]]]
  • 45 J. Cohen-Addad and R. V ogin, "Molecular Motion Anisotropy as Reflected by a" Pseudosolid" Nuclear Spin Echo: Observation of Chain Constraints in Molten cis-1,4-Polybutadiene" , Phys. Rev. Lett., 1974, 33, 940.custom:[[[-]]]
  • 46 J. Collignon, H. Sillescu, and H. Spiess, "Pseudo-solid Echoes of Proton and Deuteron NMR in Polyethvlene Melts" , Colloid and Polym. Sci., 1981, 259, 220−226.custom:[[[-]]]
  • 47 P. Callaghan and E. Samulski, "Molecular Ordering and the Direct Measurement of Weak Proton-Proton Dipolar Interactions in a Rubber Network" , Macromolecules, 1997, 30, 113−122.custom:[[[-]]]
  • 48 R. Ball, P . Callaghan, and E. Samulski, " A Simplified Approach to the Interpretation of Nuclear Spin Correlations in Entangled Polymeric Liquids" , J. Chem. Phys., 1997, 106, 7352−7361.custom:[[[-]]]
  • 49 E. Fischer, F. Grinberg, R. Kimmich, and S. Hafner, "Characterization of Polymer Networks Using the Dipolar Correlation Effect on the Stimulated Echo and Field-cycling Nuclear-magnetic Resonance Relaxometry", J. Chem. Phys., 1998, 109, 846−854.custom:[[[-]]]
  • 50 F. Grinberg, M. Garbarczyk, and W. Kuhn, "Influence of the Cross-link Density and the Filler Content on Segment Dynamics in Dry and Swollen Natural Rubber Studied by the NMR Dipolar-correlation Effect", J. Chem. Phys., 1999, 111, 11222−11231.custom:[[[-]]]
  • 51 K. Saalwächter and A. Heuer, "Chain Dynamics in Elastomers as Investigated by Proton Multiple-quantum NMR", Macromolecules, 2006, 39, 3291−3303.custom:[[[-]]]
  • 52 K. Saalwächter, B. Herrero, and M. A. López-Manchado, "Chain Order and Cross-link Density of Elastomers as Investigated by Proton Multiple-quantum NMR" , Macromolecules, 2005, 38, 9650−9660.custom:[[[-]]]
  • 53 W. Chassé, J. L. Valentín, G. D. Genesky, C. Cohen, and K. Saalwächter, "Precise Dipolar Coupling Constant Distribution Analysis in Proton Multiple-quantum NMR of Elastomers" , J. Chem. Phys., 2011, 134.custom:[[[-]]]
  • 54 J. Valentín, P . Posadas, A. Fernández-Torres, M. Malmierca, L. González, W. Chassé, and K. Saalwachter, "Inhomogeneities and Chain Dynamics in Diene Rubbers Vulcanized with Different Cure Systems", Macromolecules, 2010, 43, 4210− 4222.custom:[[[-]]]
  • 55 D. Moldovan and R. Fechete, "Bimodal 1H Double Quantum Build-up Curves by Fourier and Laplace-like Transforms on Aged Cross-linked Natural Rubber" , Polymers, 2021, 13, 3523.custom:[[[-]]]
  • 56 A. P . Munaro, G. P . da Cunha, J. G. Filgueiras, J. M. Pinto, M. Munaro, E. R. de Azevedo, and L. C. Akcelrud, " Ageing and Structural Changes in PDMS Rubber Investigated by Time Domain NMR" , Polym. Degrad. Stabil., 2019, 166, 300−306.custom:[[[-]]]
  • 57 A. Karekar, K. Oßwald, K. Reincke, B. Langer, and K. Saalwächter, "NMR Studies on the Phase-resolved Evolution of Cross-link Densities in Thermo-oxidatively Aged Elastomer Blends" , Macromolecules, 2020, 53, 11166−11177.custom:[[[-]]]
  • 58 A. Karekar, C. Schicktanz, M. T ariq, K. Oßwald, K. Reincke, V . Cepus, B. Langer, and K. Saalwächter, "Effects of Artificial Weathering in NR/SBR Elastomer Blends", Polym. Degrad. Stabil., 2023, 208, 110267.custom:[[[-]]]
  • 59 N. M. da Silva Ruiz, A. M. F. de Sousa, M. R. d. C. M. Calderari, M. A. G. de Figueiredo, A. P. Lima, and E. R. de Azevedo, "Time Domain NMR Evaluation of Thermal and Thermochemical Aging of Nitrile Rubber on Crosslinking and Mechanical Properties", Polym. Degrad. Stabil., 2024, 224, 110727.custom:[[[-]]]
  • 60 L. M. Silva, F . D. Andrade, G. Elenilson Filho, M. R. Monteiro, E. R. de Azevedo, and T. Venâncio, "NMR Investigation of Commercial Carbon Black Filled Vulcanized Natural Rubber Exposed to Petrodiesel/biodiesel Mixtures", Fuel, 2016, 186, 50−57.custom:[[[-]]]
  • 61 S. R. Vaikuntam, K. W. Stöckelhuber, E. Subramani Bhagavatheswaran, S. Wießner, U. Scheler, K. Saalwächter, P. Formanek, G. Heinrich, and A. Das, "Entrapped Styrene Butadiene Polymer Chains by Sol-gel-derived Silica Nanoparticles with Hierarchical Raspberry Structures" , J. Phys. Chem. B, 2018, 122, 2010−2022.custom:[[[-]]]
  • 62 K. Saalwächter, M. Gottlieb, Liu, and W. Oppermann, "Gelation as Studied by Proton Multiple-quantum NMR", Macromolecules, 2007, 40, 1555−1561.custom:[[[-]]]
  • 63 X. Zou, X. Kui, R. Zhang, Y . Zhang, X. Wang, Q. Wu, T. Chen, and P . Sun, "Viscoelasticity and Structures In Chemically and Physically Dual-cross-linked Hydrogels: Insights from Rheology and Proton Multiple-quantum NMR Spectroscopy" , Macromolecules, 2017, 50, 9340−9352.custom:[[[-]]]
  • 64 R. Zhang, C. Zhang, Z. Yang, Q. Wu, P. Sun, and X. Wang, "Hierarchical Dynamics in a Transient Polymer Network Cross-linked by Orthogonal Dynamic Bonds" , Macromolecules, 2020, 53, 5937−5949.custom:[[[-]]]