PDF  PubReader

고내열 방열 특성을 갖는 PI/MgO 복합 필름의 제조 및 특성

백지연 , 이상오 , 김경효 , 이재웅

고내열 방열 특성을 갖는 PI/MgO 복합 필름의 제조 및 특성

Manufacturing and Characterization of PI/MgO Composite Films with High Heat Resistance and Heat Dissipation Properties

Jiyeon Baek, Sangoh Lee, KyoungHou Kim, and Jaewoong Lee

Abstract: Polyimide (PI), a high heat-resistant polymer, was reinforced with thermally conductive magnesium oxide (MgO) fillers to fabricate composite films with enhanced thermal stability and heat dissipation properties. Polyamic acid (PAA) solutions blended with varying MgO contents were thermally imidized, confirming complete conversion of P AA to PI in all cases. Morphological analysis indicated that increasing MgO content led to higher filler particle density on the film surface, with partial sedimentation observed due to density differences. Thermal analysis showed that all composites exhibited glass transition temperatures above 380°C and decomposition temperatures above 500 °C. Thermal conductivity increased significantly with MgO addition, rising from 0.272 W/m·K for pure PI to 0.423 W/m·K at 10 wt%, with a steep increase observed beyond 8 wt% due to the formation of effective heat transfer pathways. In contrast, mechanical properties declined with increasing MgO loading, as tensile strength decreased from 10.95 MPa for pure PI to 4.20 MPa at 10 wt%, accompanied by reduced elongation at break. These results demonstrate the potential of PI/MgO composites as heat-resistant materials with tunable thermal conductivity, albeit with compromised mechanical performance at higher filler contents.

Keywords: polyimide(PI) , magnesium oxide(MgO) , composite film , thermal conductivity , thermal stability

1. 서 론

현대 사회의 급격한 기술 발전으로 전자기기, 배터리, 항공우주 및 자동차 산업 등 다양한 분야에서 고성능 소재에 대한 수요가 가속화되고 있다[14]. 소형화 및 고집적화로 인한 열 문제가 시스템 성능 저하, 수명 단축, 더 나아가 안전사고로까지 이어질 수 있기 때문에 고성능 소재의 효과적인 열관리는 필수 요소로 부각되고 있다[5,6]. 또한, 고온 환경에서도 안정적인 성능을 유지할 수 있는 내열 및 방열 복합재료의 필요성이 커지고 있으며, 열 관리를 위한 소재 개발의 필요성이 점증하고 있다[7]. 따라서 내열성과 방열성을 동시에 갖춘 복합 기능성 소재 개발은 차세대 기술 발전을 위한 핵심 과제로 주목받고 있으며, 이를 위해서는 고온 환경에서도 안정적인 구조적 특성을 유지할 수 있는 내열성 확보, 효율적인 열 분산 및 열 방출을 통한 방열 특성의 개선이 필수적이다[8,9].

내열성이 뛰어난 고분자는 높은 온도에서도 물리적·화학적 특성을 안정적으로 유지할 수 있는 재료로서 고온 환경에서 안정성이 요구되는 여러 산업 분야에 활용된다. 이러한 내열성 고분자는 주 사슬에 방향족 고리, 이미드(imide) 결합, 또는 헤테로고리 구조 등 강한 공유결합을 포함하고 있어 높은 결합에너지를 가지며, 그 결과 열에 의한 분해가 지연된다. 또한 분자의 강직한 골격 구조와 분자 간 강한 상호작용으로 인해 유리 전이온도(Tg) 및 열분해 온도가 높으며, 고온에서도 기계적 특성과 전기 절연 특성을 유지할 수 있다[10, 11]. 대표적인 내열성 고분자로는 폴리이미드(polyimide, PI), 폴리에테르 에테르 케톤(polyether ether ketone, PEEK), 폴리벤즈이미다졸(polybenzimidazole, PBI), 폴리설폰(polysulfone, PSU), 폴리아릴렌 에테르 술폰(polyarylene ether sulfone, PES) 등이 보고되어 있다[1215].

이들 고분자 중 폴리이미드(polyimide, PI)는 다양한 디안하이드라이드(dianhydride)와 다이아민(diamine) 단량체가 축 중합하여 형성된 폴리아믹산(poly(amic acid), PAA) 전구체로부터 합성된다. 형성된 PAA는 열처리 또는 화학적 탈수 반응을 통해 고리형 이미드 결합을 생성하여 PI로 전환된다[1618]. Figure 1에 나타낸 바와 같이 이미드화(imidization)는 열에너지에 의해 유도되는 반응으로, PAA 분자 내의 질소(-NH-) 원자가 인접한 카복실기(-COOH)와 직접 반응하여 5원 고리 구조의 안정적인 이미드 결합(-CO-N-CO-)을 형성한다. 이 과정에서 생성된 물([TeX:] $$\mathrm{H}_2 \mathrm{O}$$)은 부산물로 제거되어 반응의 역진행을 억제하는 역할을 한다. 이와 같이 형성된 이미드 고리의 도입과 방향족 주 사슬은 PI에 높은 사슬 강성 및 강한 분자 간 상호작용을 부여한다. 이러한 구조적 특성으로 인해 PI는 우수한 내열성, 전기 절연성 및 화학적 안정성을 지닌 고성능 고분자 소재로서 다양한 산업 분야에서 코팅제 및 필름 재료로 널리 사용되고 있다[1921]. 그러나 PI는 고분자 소재로서 본질적으로 낮은 열전도도를 가지며, 무기 재료 대비 고온 안정성이 상대적으로 부족하다는 한계를 지닌다. 따라서 고성능 방열이 요구되는 응용 분야에서 PI의 활용은 제한적인 측면이 있다[22,23].

Figure 1.

Imidization of poly(amic acid) to polyimide.
1.png

한편, 상대적으로 취약한 고분자 소재의 열전도도 특성을 강화하기 위한 대체 소재의 관심이 증가하고 있으며 그 대표적인 열 전도성 물질로는 알루미나(Al2O3), 산화마그네슘(MgO), 질화알루미늄(AlN), 질화붕소(BN)와 같은 무기계 필러와 탄소나노튜브(CNT), 그래파이트와 같은 탄소계 필러가 언급되고 있으며, 고분자의 열전도 특성 개선을 위해 이러한 무기계 필러 및 탄소계 필러들은 고분자 매트릭스 내 열전달 경로를 형성하여 복합재료의 열전도 특성을 향상하는 핵심적인 역할을 하며, 전기 절연성과 열 전도성에 다양한 열관리 응용 분야에서 활용된다[2427].

Figure 2에 나타낸 산화마그네슘(magnesium oxide, MgO)은 높은 열전도도, 우수한 전기 절연성 그리고 높은 융점을 갖춘 대표적인 무기 충전재로, MgO를 활용한 방열 소재 연구는 주로 에폭시, 실리콘 등 다양한 고분자와의 복합화로 진행되어 왔으며, 열 발생량이 많은 전자부품의 방열 시트 및 LED 패키징 소재 등의 연구가 제시되어 왔다[2830]. 특히 MgO의 표면은 산소 음이온(O2-)의 성질로 인해 염기성을 띠며, PI 사슬 내의 이미드기 및 카복실기와 수소결합 또는 정전기적 상호작용을 형성할 수 있다. 이러한 계면 상호작용은 필러-매트릭스 사이의 결합력을 향상시켜 열전달 경로를 더욱 효율적으로 연결하고, 결과적으로 복합필름의 열전도도 향상에 기여할 수 있다[31].

Figure 2.

Molecular structure of a Magnesium Oxide(MgO).
2.png

실제로 PI 복합재료의 열전도도 향상 연구는 활발히 진행되어 왔으며, 질화붕소(BN), 그래핀, 질화알루미늄(AlN) 등의 필러를 복잡한 화학적 처리 및 정렬 공정과 결합하여 높은 열전도 성능을 달성한 성공적인 사례들이 다수 보고되었다[3240]. 그러나, 이러한 선행 연구들은 고성능을 얻기 위해 공정의 기술적 난이도와 비용을 감수해야 하는 산업적 한계를 내포하고 있다. 또한 고분자 소재로서 고내열성을 대표하는 PI와 고방열성 무기 필러인 MgO를 복합화하여 PI/MgO 필름을 제조하고, MgO가 가진 염기성 표면의 잠재적 상호작용을 단순한 공정으로 활용하여 열전달 효율을 높이려는 시도는 상대적으로 부족하다.

본 연구에서는 PI의 낮은 열전도도 한계를 극복하기 위해, 열 전도성이 높은 MgO 필러를 활용하였다. 특히, 화학적 표면처리 과정을 거치지 않고 물리적 교반 공정을 활용하여 MgO를 PI 매트릭스 내에 분산시키는 단순하고 친환경적인 제조 방식을 적용하였다. 이러한 접근은 기존 복합 필름 제조 공정의 복잡성과 비용 문제를 완화함과 동시에, PI/MgO 복합체의 열전달 효율 향상을 위한 새로운 설계 방향을 제시한다. 나아가, 공정의 단순화는 기존 PI 복합필름 제조 방식과 차별화되는 전략으로서, 효율성을 높여 대량생산 및 실용화 가능성을 확대할 수 있는 잠재력을 지닌다.

이에 따라 본 연구의 목적은 고내열성 소재인 PAA에 우수한 열전도도를 가지는 MgO 필러를 다양한 비율로 첨가하여 블렌딩한 뒤, 이를 기반으로 필름을 제조하였다. 필름을 제조하여 고내열, 방열 특성을 가지는 PI/MgO 복합필름의 구조적, 열적, 기계적 특성을 규명함으로써, MgO 필러 함량 변화에 따른 복합필름의 내열성, 방열성의 영향을 연구하고자 한다. 제조한 필름의 화학적 결합 피크를 확인하기 위해 Fourier Transform Infrared Spectroscopy (FT-IR)를 사용하였다. Optical Microscope, (OM), Scanning Electron Microscopy (SEM) 및 Energy Dispersive X-ray Spectroscopy (EDS)를 이용하여 필름의 표면, 단면 형상 및 MgO 필러의 분포도를 분석하였으며, Thermogravimetric Analysis (TG-DTA)와 Dynamic Mechanical Analysis (DMA)를 통해 필름의 열적 특성을 확인하였고, ASTM D 5470 표준 시험법에 따라 열전도도를 측정하여 복합필름의 방열 성능을 확인하였다. 필름의 인장강도는 Universal testing machine (UTM)를 사용하여 측정하였다.

2. 실 험

2.1. 시료 및 시약

PAA Vanish는 PI첨단소재㈜ (Seoul, Korea)으로부터 구매했으며, VEH Varnish (고형분 25%, DMAc)를 사용하였다. 방열 필러로 사용된 20 μm MgO 필러는 소울머티리얼㈜ (Gyeongsan, Korea)의 ExiAl 20을 제공받아 사용하였다.

2.2. 실험 방법

PAA 및 PAA/MgO 비율별 용액 제조: PAA Vanish에 MgO 방열 필러를 블렌딩하기 위해 고형분 25%를 감안하여 비율별로 제조한다. MgO 함량이 11 wt% 이상인 경우에는 무기물인 MgO의 특성에 의해 필름의 비 균일한 형성, 이미드화 중 박리 등의 결함이 발생하였다. 따라서 본 연구는 고분자의 결합력, 필름의 균일한 형성 및 향후 적용성 들을 고려하여 MgO 함량을 최대 10 wt%로 제한하였다. 설정된 범위 내에서 MgO 함량을 0, 1, 2, 3, 4, 5, 6, 7, 8, 9, 10 wt%의 비율로 조절하여 블렌딩 용액을 제조하였다. 각 용액은 중점도용 기계식 교반기(mechanical stirrer, MS3030D, 미성과학기기㈜, Korea)를 이용하여 80 rpm의 속도로 4시간 교반하여 필러의 응집 방지와 균일 분산이 될 수 있도록 하였다. 이후에 교반된 용액을 [TeX:] $$25^{\circ} \mathrm{C}$$ 조건에서 진공상태로 20분간 기포를 제거(degassing)하였다.

PI 및 PI/MgO 복합필름 제조: 기포를 제거한 용액은 1.5 μm의 두께를 설정한 필름메이커(YBA-4, Yoshimitsu, LTD. Japan)로 내열 유리판에 용액을 캐스팅하였다. 내열 유리판 위에 캐스팅된 용액은 공기 분위기의 전기로에서 다음과 같은 열처리 조건에 따라 승온 및 유지하였다. 먼저, [TeX:] $$25^{\circ} \mathrm{C}$$에서 [TeX:] $$110^{\circ} \mathrm{C}$$까지 [TeX:] $$7^{\circ} \mathrm{C}$$/min의 속도로 승온 후 20분간 유지하였고, 이후 [TeX:] $$110^{\circ} \mathrm{C}$$에서 [TeX:] $$150^{\circ} \mathrm{C}$$까지 [TeX:] $$20^{\circ} \mathrm{C}$$/min의 속도로 승온시킨 뒤 동일하게 20분간 유지하였다. 이어서 [TeX:] $$150^{\circ} \mathrm{C}$$에서 [TeX:] $$200^{\circ} \mathrm{C}$$까지 [TeX:] $$25^{\circ} \mathrm{C}$$/min의 속도로 승온하여 20분간 유지하였으며, 마지막으로 [TeX:] $$200^{\circ} \mathrm{C}$$에서 [TeX:] $$300^{\circ} \mathrm{C}$$까지 [TeX:] $$20^{\circ} \mathrm{C}$$/min의 속도로 승온한 후 20분간 유지하였다. 온도 상승 종료 후 시료는 자연 냉각하였다. PAA/MgO 용액 및 PI/MgO 복합 필름의 제조 과정의 모식도를 Figure 3에 나타내었다.

Figure 3.

Process of making PI/MgO blended film.
3.png
2.3. 결과 및 고찰

적외선분광기(FT-IR): PI 필름과 MgO 필러의 비율별 PI/MgO 복합필름의 화학구조 형태를 파악하고, 비율별 조건에 따른 이미드화 정도를 확인하기 위해 FT-IR(Spectrum 100, Perkin Elmer, Inc. USA)을 이용하여 600−4000 cm-1의 범위에서 측정하였다.

광학현미경(OM): PI 필름과 MgO 필러의 비율별 PI/MgO 복합필름의 표면 형상 및 MgO 필러의 분포도를 확인하기 위해 광학현미경(LV-UEPI, Nikon, Ltd., Japan)을 사용하여 측정하였다. 시료의 크기는 가로 20 mm, 세로 20 mm로 제작하였다.

주사전자현미경(SEM): PI 필름과 MgO 필러의 비율별 PI/MgO 복합필름의 표면, 단면 형상 및 MgO 필러의 분포도를 비교 분석하기 위해 FE-SEM (S-4800, Hitachi, Ltd. Japan)을 사용하여 여러 배율로 측정하였다. MgO 필러의 조성 및 필름 내 원소 분포를 확인하기 위하여 EDS(Energy Dispersive X-ray Spectroscopy) 분석을 함께 수행하였다.

열중량분석기(TG-DTA): PI 필름과 MgO 필러의 비율별 PI/MgO 복합필름의 열분해 온도를 비교 분석하기 위해 TGDTA(SDT Q600, TA Instruments, Inc., USA) 분석기기를 사용하여 질소 분위기 하에 온도 상승 온도 [TeX:] $$10^{\circ} \mathrm{C}$$/min, 최대 온도 [TeX:] $$800^{\circ} \mathrm{C}$$까지 설정하여 측정하였다.

동적기계분석기(DMA): PI 필름과 MgO 필러의 비율별 PI/MgO 복합필름의 유리전이 온도(Tg)를 분석하기 위해 DMA(Q800, TA Instruments, Inc., USA)를 사용하여 온도 범위 [TeX:] $$0-500^{\circ} \mathrm{C}$$에서 진행하였으며, 탄젠트 델타(tan δ) 값을 측정하였다. 필름 시편의 유리 전이온도(Tg)는 tan δ 피크의 최대값으로부터 결정하였다. 시료의 크기는 10 mm(폭)×70 mm(길이)로 재단하였으며 DMA 시료 고정 클램프에 단단히 고정하여 시료의 미끄럼이나 불필요한 변형을 방지하여 측정하였다.

열전도도 측정: 열전도도는 ASTM D 5470 시험 규격에 의거하여 측정하였다. 구리 면의 상부를 냉각하고 하부를 가열한 뒤, 열량이 평형에 도달했을 때 상·하부의 온도를 동시에 측정하여 열전도도를 계산하였다. 시편은 직경 25 mm의 원형 필름을 여러 겹 적층하여 두께 2 mm로 제작하였으며, 열전도율 측정기(TCV-100, Seo Inc., Korea)를 사용하여 측정하였다.

만능재료시험기(UTM): PI/MgO 복합필름의 인장강도 및 파단 신율을 확인하기 위해 UTM (OTT-05, Oriental, Inc., Korea)을 사용하여 측정하였다. 시험에 사용된 모든 필름은 시험 전 표준 환경에서 조절하였으며, ASTM D 882 규격에 의거하여 10 mm (폭)×50 mm (길이) 크기의 필름으로 재단하였다. 인장 시험 속도는 0.5 mm/min으로 설정하여 시편이 파단될 때까지 측정하였다. 각 샘플은 10개의 시편을 측정하여 평균값 및 표준편차를 계산하였다. 인장강도는 파단 시 인장력/초기 단면적, 파단 신율은 파단 시점의 연신율로 정의하였다.

3. 결과 및 고찰

3.1. PI 및 PI/MgO 복합필름의 이미드화 분석

MgO 필러는 무기물이기 때문에 FT-IR에서는 특정할 수 있는 피크가 발견되지 않았으며, PI 및 PI/MgO 복합필름의 이미드화 여부를 확인하기 위해 PAA를 비교군으로 사용하여 PI 및 PI/MgO 복합필름의 이미드화 여부를 평가하였다. 600−4000 Wave number(cm-1) 범위에서 측정하였으며 그 결과는 Figure 4에 나타내었다. Figure 4에 나타난 바와 같이 3300−2500 cm−1영역에 위치하는 –NH/OH 신축 진동의 광대역은 PAA 필름에서는 완만한 곡선을 보인 반면, 모든 PI/MgO 복합필름에서는 평탄한 직선 형태를 나타내었다. 이는 열에 의한 이미드화 과정에서 -OH 및 -NH 작용기가 효과적으로 제거되고 이미드 고리 구조로 전환이 이루어졌음을 의미한다. 또한 1712.91 cm-1에서 나타난 C=O 결합 피크는 PAA에는 관찰되지 않았으나, 이미드 고리 내 카보닐기(carbonyl) 진동에 기인하여 복합필름에서 명확히 확인되었다. 1320 cm-1의 C–N 이미드 결합 피크 역시 PAA에는 없었지만 복합필름에서 나타나, 이미드 결합 형성을 나타내었다. 1230.89 cm-1에 위치한 C–N 결합 및 C–O 신축 진동 피크는 이미드화 진행을 보완적으로 뒷받침하였다. 마지막으로, 720.44 cm-1>에서 이미드 고리 형성을 나타내는 특징적인 피크가 PAA를 제외한 모든 필름에서 관찰되어, PAA가 성공적으로 PI로 전환되었음을 확인하였다[41]. 이를 근거로, 이미드화를 진행한 복합필름의 PAA가 PI로 변환되었음을 알 수 있었다.

Figure 4.

FT-IR analysis according different blending ratio of PI/MgO blended.
4.png
3.2. PI 및 PI/MgO 복합필름의 표면 및 단면 모폴로지 분석

PI/MgO 복합필름의 표면 형태 및 MgO 필러의 분포도를 비교 분석을 위하여 광학현미경(OM) 측정을 하였으며. 그 결과를 Figure 5에 나타내었다. 순수 PI 필름(0 wt%, Figure 5(a))에서는 MgO 필러 입자가 전혀 관찰되지 않아 균일하고 결함 없는 고분자 매트릭스 구조가 확인되었다. 시편 531 μm×438 μm의 범위를 기준으로 하여 MgO 필러 입자의 개수를 측정한 결과, 2 wt%에서 10 wt% 복합 필름에서는 각각 22개(b), 59개(c), 112개(d), 168개(e), 192개(f)의 MgO 필러 입자가 분산된 것으로 확인되었다. MgO 함량이 증가함에 따라 필러 입자의 수가 비례적으로 늘어나면서 필름 내 입자 분포 밀도가 상대적으로 높아졌으며, 4 wt% 이상부터는 필러 입자들이 점진적으로 모여 응집하는 경향도 관찰되었다. 이러한 필러 분산 현상은 복합 필름의 열전도 특성과 기계적 강성에 직접적인 영향을 미칠 수 있을 것으로 사료된다.

Figure 5.

Optical surface image of MgO and different blending ratio of PI/MgO blended films; (a) PI_MgO_0wt%, (b) PI_MgO_2wt%, (c) PI_MgO_4wt%, (d) PI_MgO_6wt%, (e) PI_MgO_8wt%, and (f) PI_MgO_10wt%.
5.png

PI/MgO 복합필름의 표면, 단면 및 MgO 필러의 분포도를 비교 분석을 위하여 주사전자현미경(FE-SEM)을 측정하였으며, 그 결과를 Figure 6에 나타내었다. Figure 6(a)는 MgO 필러의 형태이며, 그 문양은 완전한 구형이 아닌 다소 비정형적(irregular spherical)인 입자 형태를 나타내었다. 입자 크기는 평균 지름 약 20 μm 내외로 확인되었다. MgO 필러 함량에 따른 PI/MgO 복합필름 표면의 변화를 관찰하여 Figure 6(b-f)에 나타내었다. 그 결과를 살펴보면 필름 표면에서 MgO 필러의 함량이 점진적으로 증가함에 따라 필름 표면에 돌출된 필러 입자의 밀도가 함께 증가하는 경향을 보였으며, MgO 필러의 영향으로 표면의 돌출된 부분의 분포가 균일하지 않은 양상도 관찰되었다[42].

Figure 6.

SEM surface images of MgO and different blending ratio of PI/MgO blended films; (a) MgO, (b) PI_MgO_0wt%, (c) PI_MgO_2wt%, (d) PI_MgO_4wt%, (e) PI_MgO_6wt%, and (f) PI_MgO_8wt%.
6.png

이러한 필러 분포는 PI 바니쉬의 높은 점도와 MgO 입자의 응집 경향으로 인해 필름 제조 과정에서 단순 물리적 교반만으로는 필러의 완전한 해체 및 균일한 분산 달성에 한계가 있는 것으로 판단된다. 하지만, 이러한 국부적인 필러 응집 영역이 MgO 입자 간의 접촉을 강화하여 부분적인 열전달 경로를 형성하는 데 기여할 수 있으며, 이는 필러 함량 증가 시 관찰되는 열전달 특성 개선과 연관될 가능성을 시사한다.

PI/MgO 복합필름의 단면을 측정하여 그 결과를 Figure 7에 나타내었다. 유리판에 접촉한 이면 부분을 바닥으로 향하게 측정하였으며, 전체적인 필름에서 MgO 필러가 이면 부분으로 침강하는 양상이 관찰되었다. 필러 입자의 상대적으로 큰 크기로 인해 필름 표면에서 국부적인 돌출 표면 형상이 나타났다. 특히 Figure 7(e)에서 관찰된 바와 같이, 시료 단면 제작 과정에서 일부 필러 입자의 탈락이 확인되었다. 이러한 MgO 필러 입자의 탈락으로 형성된 공극을 통해 PI/MgO 복합필름 제조 시 MgO 입자가 중력에 의해 PI 고화 필름의 하단부에 위치함을 할 수 있었다.

Figure 7.

Cross section of different blending ratio of PI/MgO blended films; (a) PI_MgO_0wt%, (b) PI_MgO_2wt%, (c) PI_MgO_4wt%, (d) PI_MgO_6wt%, (e) PI_MgO_8wt%, and (f) PI_MgO_10wt%.
7.png

이러한 현상은 MgO 필러(비중: 3.6)와 PI(비중: 1.4)의 비중(specific gravity) 차이에 기인하여 나타나는 것으로 사료된다. 즉, 밀도 차이로 인해 이미드화 과정 중 MgO 필러가 중력 방향으로 하부에 침강하는 결과로 해석된다.

MgO 필러의 조성 및 필름 내 원소 분포를 확인하기 위하여 에너지 분산형 분광분석법(EDS)을 함께 수행하였으며, 그 결과는 Figure 8과 Table 1에 나타내었다. Figure 8(a)에 나타난 바와 같이 PI/MgO 복합필름 내 다양한 지점의 EDS 스펙트럼을 측정하였다. EDS 스펙트럼 전반에 걸쳐 주성분인 C, O, Mg 외에 매우 작은 피크가 관찰되었는데, 이는 SEM 분석을 위한 전처리 과정에서 시료 표면에 증착된 Pt(platinum) 코팅에 기인한 것이다. 이 Pt 피크는 분석 결과의 배경 신호로 간주하며, 시료 자체의 조성 분석에는 영향을 미치지 않는다. PI로부터 기인하는 탄소(C), 산소(O) 피크 외에, MgO 필러에서 유래한 마그네슘(Mg) 및 산소(O) 피크가 명확하게 검출되었다.

제시된 Figure 8(b) 상의 일부분인 Point 1에서는 Mg 원소가 54.71 wt%로 가장 높은 비율을 차지하였으며, C 원소가 34.71 wt%, O 원소가 10.58 wt%로 검출되었다. Point 1의 영역은 MgO 필러로 해석되며, 검출된 C 원소는 MgO 필러를 둘러싼 PI 고분자로 발생한 피크로 판단된다. 반면, Figure 8(c-d) 상의 Point 2, 3에서는 Mg 원소가 검출되지 않았다. Table 1에 나타낸 정량 분석 결과, Point 2에서 C 원소가 76.74 wt%, O 원소가 23.26 wt%가 검출되었으며, Point 3에서는 C 원소가 80.83 wt% O 원소가 19.17 wt%로 구성되어, 두 지점 간의 C 원소 함량은 4.09 wt%로 유사한 조성을 나타냈다. 그러나 Figure 8(c)에 나타난 그래프상에서 C 피크와 O 피크의 높이가 비슷하게 관찰되었다. 이러한 스펙트럼 그래프와 표의 시각적 불일치는 C 특성 X선의 낮은 에너지로 인한 시료 내부의 강한 흡수 효과와 두 시료 간의 전자빔 상호작용 부피 차이가 Count 값에 방영된 결과이다. 따라서 시각적 피크 높이가 아닌 X-ray의 손실을 보정한 ZAF 보정 wt% 값을 최종적인 정량 해석 근거로 사용하였다[43].

종합적으로, EDS 분석 결과를 통해 Point 1 영역은 MgO 필러로 확인되었고, Point 2와 Point 3 영역은 MgO 필러가 배제된 PI 고분자 매트릭스 영역이며, 두 지점 모두 약 80 wt% 내외의 탄소를 포함하는 유사한 고분자 조성을 가짐을 명확히 확인하였다.

Figure 8.

SEM image of (a) PI/MgO blended film and EDS result of (b) Point 1, and (c) Point 2 and (d) Point 3.
8.png

Table 1.

The compositional analysis in mass percentages
Elements Point 1 (wt%) Point 2 (wt%) Point 3 (wt%)
C 34.71 76.74 80.83
O 10.58 23.26 19.17
Mg 54.71 0.00 0.00
Total 100.00 100.00 100.00
3.3. PI 및 PI/MgO 복합필름의 열적 특성

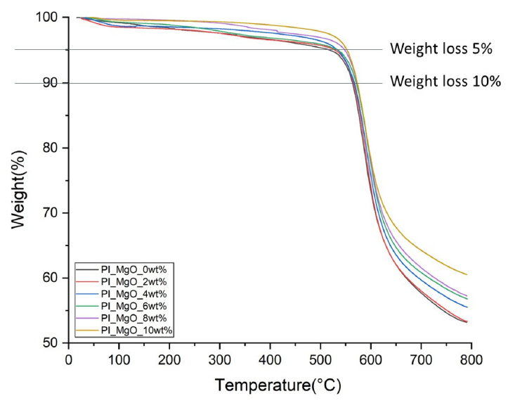
PI 및 PI/MgO 복합필름의 열적 특성의 비교 분석을 위해 열중량 분석기(TG-DTA)를 사용하여 열분해에 의한 중량 감소 별 온도 [TeX:] $$\left(\mathrm{T}_{5 \%}, \mathrm{~T}_{10 \%}\right)$$ 와 탄화 수율(char yield)을 측정하였다. 그 결과를 Figure 9 및 Table 2에 나타내었다.

Figure 9 및 Table 2에서 보이는 바와 같이 약 [TeX:] $$500-600^{\circ} \mathrm{C}$$ 범위에서 PI/MgO 복합필름이 [TeX:] $$\mathrm{T}_{5 \%} \text{ 및 } \mathrm{~T}_{10 \%}$$의 온도 값을 나타냄을 알 수 있다. PI 및 PI/MgO 복합 필름들 가운데 가장 높은 [TeX:] $$\mathrm{T}_{5 \%}$$ 온도 값을 보인 시료는 PI/MgO 10 wt% 복합필름이었다. [TeX:] $$\mathrm{T}_{10 \%}$$ 온도 값 중에서 가장 높은 온도 값을 보인 시료 또한 PI/MgO 10 wt% 복합 필름이었다. PI 대비 MgO 필러의 함량 증가에 따라 초기 분해 온도가 상승하는 경향이 관찰되었다. 구체적으로, 10 wt% MgO가 첨가된 복합필름의 경우, 순수 PI 필름 대비 [TeX:] $$\mathrm{T}_{5 \%}$$에서 [TeX:] $$35.81^{\circ} \mathrm{C} \text {, }$$ [TeX:] $$\mathrm{T}_{10 \%}$$에서 [TeX:] $$9.56^{\circ} \mathrm{C} \text {, }$$ 상승이 확인되었다. 이러한 경향은 MgO 필러가 PI 고분자 사슬의 운동성을 효과적으로 제한하여 열적 분해 반응을 지연시키고, 궁극적으로 복합필름의 열 안정성을 향상했음을 시사한다. 탄화 수율의 경우, 무기물인 MgO 필러의 함량이 증가함에 따라 탄화 수율도 비례적으로 증가하였다. 특히 [TeX:] $$800^{\circ} \mathrm{C}$$에서 순수 PI 필름의 탄화 수율은 53.17%였으나, 10 wt% MgO 필러가 포함된 PI/MgO 복합필름의 경우 탄화 수율이 60.52%로 증가함이 확인되었다[44]. 이는 고온에서 열분해되는 PI와는 달리 열적으로 안정한 무기계 MgO 필러의 잔존에 기인하며, 필러의 비율이 증가함에 따라 탄화 수율이 증가함을 시사한다. 모든 필름의 열분해 온도가 [TeX:] $$500^{\circ} \mathrm{C}$$ 이상으로 측정되었으며, 이를 통해 MgO와 블렌딩 된 PI/MgO 복합필름은 우수한 열적 안정성을 내포하고 있음을 확인하였다.

Figure 9.

Thermal decomposition temperature according different blending ratio of PI/MgO blended films.
9.png

Table 2.

Thermal decomposition temperature of 5% weight loss and 10% weight loss of PI/MgO blended films
Sample [TeX:] $$\mathrm{T}_{5 \%}\left({ }^{\circ} \mathrm{C}\right)$$ [TeX:] $$\mathrm{T}_{10 \%}\left({ }^{\circ} \mathrm{C}\right)$$ Char yield ([TeX:] $$800^{\circ} \mathrm{C}, \%$$)
PI_MgO_0wt% 516.66 563.52 53.17
PI_MgO_2wt% 527.66 565.69 53.36
PI_MgO_4wt% 533.01 567.45 55.5
PI_MgO_6wt% 533.51 570.94 56.8
PI_MgO_8wt% 547.94 572.81 57.25
PI_MgO_10wt% 552.47 573.08 60.52

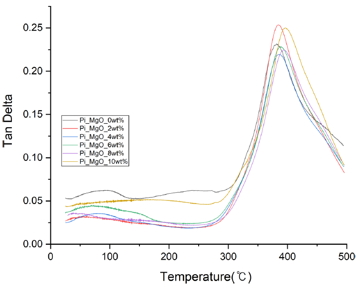
MgO 필러의 함량을 달리하여 제조한 PI 및 PI/MgO 복합필름의 유리 전이 온도(glass transition temperature, Tg)는 동적기계분석기(DMA)를 통해 측정하였으며, 그 결과는 Figure 10 및 Table 3에 나타내었다. 모든 필름에서 유리 전이 온도(Tg)가 [TeX:] $$380^{\circ} \mathrm{C}$$ 이상으로 나타났으며, 이는 고온 조건에서도 고분자 사슬의 운동성이 효과적으로 억제되어 우수한 열적 안정성이 유지되었음을 의미한다. Tan δ는 손실 저장 탄성률(E'')과 인장 저장 탄성률(E')의 비율로 tan δ = E''/E'이 값의 최대 피크 온도(tan δ max)는 일반적으로 고분자 재료의 유리 전이 온도(Tg)로 간주한다. MgO 필러 함량에 따라 Tg가 상승하는 경향이 확인되었다. 구체적으로 10 wt% MgO가 포함된 PI/MgO 복합필름은 순수 PI 필름 대비 [TeX:] $$15.51^{\circ} \mathrm{C}$$의 Tg 상승을 나타내었다[45]. 이러한 Tg 상승은 MgO 필러가 PI 매트릭스 내에서 고분자 사슬의 분절 운동을 효과적으로 제한했기 때문으로 해석된다. 이는 MgO 표면에 존재하는 하이드록실기(-OH)가 PI의 강한 극성을 띠는 카보닐기(C=O) 및 이미드 결합(C-N)과 수소 결합을 형성하여 자유 부피를 감소시키고, 결과적으로 고분자 사슬이 유리 전이 과정에서 움직이기 위해 필요한 에너지를 증가시킨 것에 기인하는 것으로 사료된다.

Figure 10.

DMA results of different blending ratio of PI/MgO blended films.
10.png

Table 3.

DMA data table of PI/MgO blended films
Sample Peak temperature, [TeX:] $$\tan \delta_{\max }\left({ }^{\circ} \mathrm{C}\right)$$
PI_MgO_0wt% 381.71
PI_MgO_2wt% 384.67
PI_MgO_4wt% 386.79
PI_MgO_6wt% 389.32
PI_MgO_8wt% 394.09
PI_MgO_10wt% 397.22
3.4. PI 및 PI/MgO 복합필름의 열전도도 특성

PI/MgO 복합필름의 열전도도 변화를 MgO 필러의 함량에 따라 분석하였으며 그 결과를 Figure 11 및 Table 4에 나타내었다. 순수 PI 필름의 열전도도는 0.272 W/m·K로 낮은 값을 보였으나, MgO 함량이 증가함에 따라 열전도도는 점진적으로 향상되었으며 10 wt% 첨가 시 0.423 W/m·K까지 증가하였다. 이에 대응하여 열 저항값은 순수 PI 필름의 경우 56.468 K·cm2/W에서 MgO 10 wt% 첨가 시 35.731 K·cm2/W로 감소하는 경향을 나타내었다. 이러한 결과는 MgO 필러가 PI 필름 내에서 효과적인 열전달 경로를 형성함으로써 복합필름의 열전달 성능과 방열 특성이 향상되었음을 시사한다[46, 47]. 더욱 구체적인 메커니즘 이해를 위해 Figure 12에 PI/MgO 복합필름 내 열전달 경로를 모식도로 나타내었다. 회색 원은 MgO 필러를, 노란색 배경은 PI 매트릭스를 의미하며, 점선으로 표시된 경로는 MgO 입자 간 상호 연결을 통한 열전달 경로를 나타낸다. 낮은 MgO 함량에서는 입자 간 거리가 멀어 열전달 경로 형성이 제한적이나, 필러 함량이 증가함에 따라 MgO 입자들이 점차 인접하며 연속적인 열전달 경로를 구축한다. 특히 10 wt%에서는 열이 빠르게 확산 및 전달될 수 있는 통로가 형성됨을 알 수 있다.

Figure 11.

Thermal conductivity of different blending ratio of PI/ MgO blended films.
11.png

Table 4.

Thermal conductivity data table of PI/MgO blended films
Sample Thermal conductivity (W/m·K) Thermal resistivity (K·cm2>/W)
PI_MgO_0wt% 0.272 56.468
PI_MgO_2wt% 0.313 49.386
PI_MgO_4wt% 0.319 48.722
PI_MgO_6wt% 0.321 45.514
PI_MgO_8wt% 0.344 43.439
PI_MgO_10wt% 0.423 35.731

Figure 12.

Schematic diagram of heat transfer mechanism in PI/ MgO composite films.
12.png
3.5. PI 및 PI/MgO 복합필름의 기계적 특성

PI 필름과 MgO 필러의 비율별 PI/MgO 복합필름의 인장 강도 및 파단 신율을 비교하기 위해 UTM을 사용하여 그 결과를 Figure 13 및 Table 5에 나타내었다.

Figure 13.

Tensile strength of different blending ratio of PI/MgO blended films.
13.png

Table 5.

Mechanical properties data table of PI/MgO blended films
Sample Tensile strength (MPa) Break elongation (%)
PI_MgO_0wt% 10.95±0.8 21.26±1.3
PI_MgO_1wt% 10.33±0.5 5.41±0.4
PI_MgO_2wt% 9.71±0.3 4.45±0.5
PI_MgO_3wt% 9.62±0.5 3.48±0.6
PI_MgO_4wt% 8.63±0.4 3.43±0.9
PI_MgO_5wt% 7.65±0.8 3.28±0.2
PI_MgO_6wt% 6.63±0.5 2.87±0.6
PI_MgO_7wt% 6.40±0.4 2.65±0.8
PI_MgO_8wt% 5.65±0.5 2.56±1.2
PI_MgO_9wt% 5.15±0.9 2.29±0.5
PI_MgO_10wt% 4.20±0.7 1.85±0.2

인장강도의 경우 PI 필름(0 wt%)은 10.95±0.8MPa을 나타내었다. MgO 함량 1−3 wt% 범위에서는 비교적 완만한 저하가 관찰되었으나, 4−6 wt% 범위에서 1 MPa 가량 급격히 저하되는 양상이 나타났으며, 10 wt%에서 4.20±0.7 MPa로 가장 낮은 값을 보였다. 파단 신율 역시 유사한 경향을 보였다. PI 필름(0 wt%)은 21.26±1.3%의 파단 신율을 나타내었다. 순수 PI 필름과 PI/MgO 복합필름의 파단 신율은 큰 값의 차이를 보였으며 MgO의 함량이 증가함에 따라 필름의 신도가 점차 줄어드는 경향이 나타났다. 인장강도와 동일하게 4−6 wt% 범위에서 급격한 저하가 관찰되었다[48]. 이러한 변화는 무기물인 MgO 필러의 첨가로 인해 필름 내 PI 고분자 사슬의 연속적인 배열을 방해하여 PI 고분자 사슬 간의 이차 결합력이 약화한 것으로 추정되며 그 결과로 복합필름의 인장강도 또한 저하된 것으로 사료된다.

4. 결 론

본 연구에서는 PI/MgO 복합필름을 제조하여 MgO 필러 함량 변화가 물리적, 화학적 및 열적 특성에 미치는 영향을 분석하였다. FT-IR 분석 결과, 열처리 과정을 통해 PAA가 PI로 전환되었음을 확인하였다. 광학현미경 및 SEM 관찰에서는 MgO 필러가 PI 매트릭스 내에 국부적인 필러의 응집현상을 발견하였으며, 필러 함량의 증가에 따라 입자 간 연결이 형성되어 열전달 경로가 점차 형성되었다. 열전도도 측정 결과, 복합필름의 열전도도는 점진적으로 향상되었으며, MgO 함량 10 wt% 복합필름에서 순수 PI 필름 대비 유의미한 열전도도 증가가 확인되었다. 또한, 필러 분산 양상 및 계면 특성이 유리 전이 온도(Tg) 및 기계적 강도 등 복합필름의 물성 변화에 큰 영향을 미침이 실험적으로 검증되었다. 다만, 고분자 매트릭스의 본질적 특성으로 인해 무기 필러 첨가만으로는 열전도도 향상에 한계가 존재하며, 필러 응집 및 과도한 첨가에 따른 기계적 물성 저하 가능성 또한 고려되어야 한다.

종합적으로, PI/MgO 복합필름은 우수한 내열성과 화학적 안정성을 유지하면서 향상된 열전도 특성을 나타내었다. 이는 고내열 및 방열 소재로서 다양한 전기·전자 분야에서 높은 활용 가치를 지님을 제시한다. 아울러 향후 연구에서는 필러의 형태학적 제어 및 계면 개질 기술을 통해 복합 필름의 기계적 성능을 추가로 최적화 연구가 요구된다.

감사의 글: 이 논문은 정부(산업통상자원부)의 재원으로 한국산업기술기획평가원의 지원을 받아 수행된 연구입니다(No. RS-2024-00433858).

References

  • 1 I. Gouzman, E. Grossman, R. Verker, N. Atar, A. Bolker, and N. Eliaz, "Advances in Polyimide-Based Materials for Space Applications" , Adv. Mater., 2019, 31, 1807738.custom:[[[-]]]
  • 2 Y. S. Kim, S. H. Park, J. W . Choi, L. S. Kong, G. H. Yun, B. G. Min, and S. H. Lee, "Comparative Analysis of Heat Sink and Adhesion Properties of Thermal Conductive Particles for Sheet Adhesive" , T extile Coloration and Finishing, 2016, 28, 48- 56.custom:[[[-]]]
  • 3 J. E. Han, B. K. Jeon, B. J. Goo, S. H. Cho, S. H. Kim, K. S. Lee, Y. H. Park, and J. Y. Lee, "Heat Resistant Electromagnetic Noise Absorber Films Using Poly(amide imide)/Soft Magnet Composite" , Polymer, 2009, 33, 91-95.custom:[[[-]]]
  • 4 J. C. Won, M. H. Yi, Y. T. Hong, and K. Y. Choi, "High Temperature Specialty Films", Polym. Sci. Technol., 2003, 14, 192-199.custom:[[[-]]]
  • 5 D. H. Kim and I. S. Lim, "A Study on the Manufacturing Technique of Composite Heat Dissipation Filler by Sputtering Method" , J. Applied Reliability, 2019, 19, 404-412.custom:[[[-]]]
  • 6 A. Georgiev, D. Dimov, E. Spassova, J. Assa, P . Dineff, and G. Danev, "Chemical and Physical Properties of Polyimides: Biomedical and Engineering Applications" , High Performance Polymers - Polyimides Based - From Chemistry to Applications, In Tech, 2012.custom:[[[-]]]
  • 7 P . Wang, Y . Guo, D. Zhou, D. Li, L. Pang, W . Liu, J. Su, Z. Shi, and S. Sun, "High-T emperature Flexible Nanocomposites with Ultra-High Energy Storage Density by Nanostructured MgO Fillers" , Adv. Funct. Mater., 2022, 32, 2204155.custom:[[[-]]]
  • 8 Y. Chen, T. Yu, X. Chang, Z. Guo, Z. Zhao, Z. Huang, and P . Hu, "Polyimide-coated MgO Nanoparticles Improves High- temperature Energy Storage Performance in Polyetherimide- based Nanocomposite Films" , Chem. Eng. J., 2024, 497, 154779.custom:[[[-]]]
  • 9 K. Murakami and S. Ando, "Preparation of Soluble Polyimide/ MgO Nanohybrid Films by In situ Hybridization and Evaluation of Their Thermal Conductivity" , J. Photopolym.Sci. Technol., 2010, 23, 501-506.custom:[[[-]]]
  • 10 X. Xiao, X. Qiu, D. Kong, W. Zhang, Y. Liu, and J. Leng, "Optically Transparent High Temperature Shape Memory Polymer" , Soft Matter, 2016, 12, 2894-2900.custom:[[[-]]]
  • 11 N. T . Liesen, A. Maiti, C. Fox, G. D. Kosiba, R. H. Gee, and M. P . Kroonblawd, "Chain Flexibility and Structure of a Polyimide Copolymer: Revisiting the Freely Rotating Chain Model", Macromolecules, 2025, 58, 6953-6970.custom:[[[-]]]
  • 12 H. N. Jung, K. J. Bae, J. U. Jin, Y . N. Oh, H. E. Hong, S. J. Y oun, N. H. You, and J. S. Yu, "The Effect of Aqueous Polyimide Sizing Agent on PEEK Based Carbon Fiber Composites Using Experimental T echniques and Molecular Dynamics Simulations" , Funct. Compos. Struct, 2020, 2, 025001.custom:[[[-]]]
  • 13 D. Aili, D. Henkensmeier, S. Martin, B. Singh, Y. Hu, J. O. Jensen, L. N. Cleemann, and Q. Li, "Polybenzimidazole-Based High-Temperature Polymer Electrolyte Membrane Fuel Cells: New Insights and Recent Progress" , Electrochem. Energy Rev., 2019, 3, 793-845.custom:[[[-]]]
  • 14 H. Y. Choi, Y. J. Choi, C. H. Sung, and W . T. Oh, "Structural and Thermal Properties of Polysulfone Membrane Including Graphene" , Membrane J., 2018, 28, 37-44.custom:[[[-]]]
  • 15 H. S. Byun, K. S. Y oon, J. H. Choi, J. K. Choi, S. K. Hong, and Y. T. Hong, "Fabrication and Characteristics of Partially Covalent-crosslinked Poly(arylene ether sulfone)s for Use in a Fuel Cell" , Membrane J., 2008, 18, 274-281.custom:[[[-]]]
  • 16 S. W . Lee, J. Y . Kim, S. J. Kwon, and H. M. Seo, "Polyimide and Polyimide Composite Films", Polym. Sci. Technol., 2013, 24, 17-24.custom:[[[-]]]
  • 17 P . Ma, C. Dai, H. Wang, Z. Li, H. Liu, W . Li, and C. Yang, " A Review on High Temperature Resistant Polyimide Films Bearing Heterocyclic Structures and Their Application", Composites Communications, 2019, 16, 84-93.custom:[[[-]]]
  • 18 G. Y . Noh, K. J. Kim, E. J. An, W . H. Lee, H. Kim, C. G. Chae, W . S. Chi, D. G. Kim, S. M. Park, and Y. S. Kim, "Systematic Exploration of Structure-property Relationships in Colorless Polyimides Derived from Stereoisomeric Dianhydrides and Various Diamines" , Polym. Test., 2024, 137, 108504.custom:[[[-]]]
  • 19 J. W. Lee, S. S. Kim, D. K. Kang, C. Roh, and C. K. Kang, "Physicochemical Characterization of Polyimide (PI) / p- aramid: New Functional and Safe Materials with Improved Heat Resistance by a Simple Coating of Polyimide on the Surface of p-aramid" , Prog. Org. Coatings, 2019, 127, 117-123.custom:[[[-]]]
  • 20 Z. Li, H. Qin, J. Song, M. Liu, X. Zhang, S. Wang, and C. Xiong, "Polyimide Nanodielectrics Doped with Ultralow Content of MgO Nanoparticles for High-Temperature Energy Storage" , Polymers, 2022, 14, 2918.custom:[[[-]]]
  • 21 S. Hou, L. W ang, L. Huang, B. W ang, W . Zhang, J. Xie, Y . Feng, X. Cao, and A. Zhou, "In-situ Synthesis of MXene/polyimide Nanocomposite with Enhanced Thermal and High T emperature Tribological Performance", J. Mater. Res. Technol., 2025, 36, 8284−8295.custom:[[[-]]]
  • 22 J. Xie, D. Xin, H. Cao, C. Wang, Y. Zhao, L. Yao, F. Ji, and Y. Qiu, "Improving Carbon Fiber Adhesion to Polyimide with Atmospheric Pressure Plasma Treatment" , Surface & Coatings Technology, 2011, 206, 191−201.custom:[[[-]]]
  • 23 H. Y. Nah, T. H. Kim, H. Y. Choi, J. S. Kim, W. J. Lee, E. K. Jeon, J. H. Lee, and H. H. Park, "A Study about Decrease of Oxygen Permeability with Adding Glass Flakes and (3- Aminopropyl) Triethoxysilane on Polyimide Films", J. Microelectron. Packag. Soc., 2024, 31, 80−86.custom:[[[-]]]
  • 24 S. B. Min and C. B. Kim, "Manipulating Anisotropic Filler Structure in Polymer Composite for Heat Dissipating Materials: A Mini Review" , Compos. Res., 2022, 35, 431−438.custom:[[[-]]]
  • 25 A. P . Chernyshev, V . A. Petrov, V . E. Titov, and A. Y u. V orobyev, "Thermal Radiative Properties of Magnesium Oxide at High T emperatures" , Thermochimica Acta, 1993, 218, 195−209.custom:[[[-]]]
  • 26 J. Y . Chung, B. Lee, I. K. Park, H. H. Park, H. S. Jung, J. C. Park, H. C. Cho, and J. D. Nam, "High Thermal Conductive Natural Rubber Composites Using Aluminum Nitride and Boron Nitride Hybrid Fillers" , Elastom. Compos., 2020, 55, 59−66.custom:[[[-]]]
  • 27 W . Zhou, S. Qi, C. T u, H. Zhao, C. W ang, and J. Kou, "Effect of the Particle Size of Al 2 O 3 on the Properties of Filled Heat- conductive Silicone Rubber", J. Appl. Polym. Sci., 2007, 104, 1312−1318.custom:[[[-]]]
  • 28 J. Hornak, "Synthesis, Properties, and Selected Technical Applications of Magnesium Oxide Nanoparticles: A Review" , Int. J. Mol. Sci., 2021, 22, 12752.custom:[[[-]]]
  • 29 C. Xu, K. Y uan, X. Jin, Z. Y u, L. Zheng, Y . Lu, X. W ang, L. Zhu, G. Zhang, and D. Xu, "High-temperature Stable Electrospun MgO Nanofibers, Formation Mechanism and Thermal Properties" , Ceramics International, 2017, 43, 16210−16216.custom:[[[-]]]
  • 30 S. H. Jo, P . Muralidharan, and D. K. Kim, "Electrical Properties of Gadolinium-doped Ceria/Magnesia (CGO/MgO) Composite Electrolytes" , Kor. J. Mater. Res., 2008, 18, 470−474.custom:[[[-]]]
  • 31 R. Mahya, A. Qusai, B. John, Z. Lijun, and W. Xinwei, "Exceptional Thermal Conductivity Increases of Nafion by Hydrogen-bonded Water Molecules", Appl. Phys. Lett., 2024, 124, 262202.custom:[[[-]]]
  • 32 C. Lei, Y. Zhang, D. Liu, X. Xu, K. Wu, and Q. Fu, "Highly Thermo-conductive Yet Electrically Insulating Material with Perpendicularly Engineered Assembly of Boron Nitride Nanosheets" , Compos. Sci. Technol., 2021, 214, 108995.custom:[[[-]]]
  • 33 X. Ma, L. Liu, X. Zhang, and T. Lv, "Thermal Conductivity Enhancement of Polyimide Films Filled with BN and AlN Fillers" , High Performance Polymers, 2018, 31, 959−968.custom:[[[-]]]
  • 34 X. Zheng, J. Liu, K. Wang, R. Liu, Y. Yuan, and X. Liu, "Preparation of Polyimide/amino-modified Reduced Graphene Oxide Composite Matrix and Its Application in UV-cured Functionalized Films", Prog. Org. Coatings, 2018, 124, 122- 128.custom:[[[-]]]
  • 35 Y . Guo, Z. Lyu, X. Y ang, Y . Lu, K. Ruan, Y . Wu, J. Kong, and J. Gu, "Enhanced Thermal Conductivities and Decreased Thermal Resistances of Functionalized Boron Nitride/ polyimide Composites" , Compos. Part B: Eng., 2019, 164, 732− 739.custom:[[[-]]]
  • 36 X. He and Y . Wang, "Highly Thermally Conductive Polyimide Composite Films with Excellent Thermal and Electrical Insulating Properties" , Ind. Eng. Chem. Res., 2020, 59, 1925− 1933.custom:[[[-]]]
  • 37 J. Kim, E. Jang, J. Cho, and J. Kim, "Iron Oxide/Magnesium Oxide/Graphene Oxide/Cellulose Composites with Superior Thermal Conductivity, EMI Shielding, and Electrical Insulation Synthesis Using Polydopamine Linker" , ACS Appl. Polym. Mater, 2024, 6, 8775−8785.custom:[[[-]]]
  • 38 Y. Zhou, S. Yu, H. Niu, and F. Liu, "Synergistic Improvement in Thermal Conductivity of Polyimide Nanocomposite Films Using Boron Nitride Coated Copper Nanoparticles and Nanowires" , Polymers, 2018, 10, 1412.custom:[[[-]]]
  • 39 L. Liu, C. Cao, X. Ma, X. Zhang, and T. Lv, "Thermal Conductivity of Polyimide/AlN and Polyimide/(AlN+BN) Composite Films Prepared by In-situ Polymerization", J. Macromol. Sci., 2020, 57, 398−407.custom:[[[-]]]
  • 40 Y. Guo, H. Qiu, and K. Ruan, "Hierarchically Multifunctional Polyimide Composite Films with Strongly Enhanced Thermal Conductivity" , Nano-Micro Lett., 2022, 14, 26.custom:[[[-]]]
  • 41 Y. Zhang, N. Mushtaq, X. Fang, and G. Chen, "In situ FTIR Analysis for the Determination of Imidization Degree of Polyimide Precursors" , Polymer, 2022, 238, 124416.custom:[[[-]]]
  • 42 J. Ju and J. H. Chang, "Functionalized Graphene/Polyimide Nanocomposites under Different Thermal Imidization T emperatures, " Polymer Korea, 2015, 39, 88−98.custom:[[[-]]]
  • 43 G. F. Bastin, H. J. M. Heijligers, and F. J. J. van Loo, "The Performance of the Modified Φ(ρz) Approach as Compared to the Love and Scott, Ruste and Standard ZAF Correction Procedures in Quantitative Electron Probe Microanalysis", Scanning, 1984, 6, 58−68.custom:[[[-]]]
  • 44 A. R. Ashraf, Z. Akhter, M. A. Farid1, L. C. Simon, K. Mahmood, and M. F. Nazar, "Thermal Performance Customization of Polyimide Films by Nanocomposite Engineering with Al 2 O 3 and ZnO Nanoparticles" , Frontiers in Materials, 2025, 12, 1504965.custom:[[[-]]]
  • 45 Y . Z. Y an, S. S. Park, H. R. Moon, W . J. Zhang, S. Yuan, L. Shi, D. G. Seong, and C. S. Ha, "Thermally Robust Zirconia Nanorod/Polyimide Hybrid Films as a Highly Flexible Dielectric Material", ACS App. Nano Mater., 2021, 4, 8217− 8230.custom:[[[-]]]
  • 46 K. Ruan, Y . Guo, C. Lu, X. Shi, T. Ma, Y . Zhang, J. Kong, and J. Gu, "Significant Reduction of Interfacial Thermal Resistance and Phonon Scattering in Graphene/Polyimide Thermally Conductive Composite Films for Thermal Management", Research, 2021, 2021, 8438614.custom:[[[-]]]
  • 47 X. He, X. Yu, and Y. Wang, "Significantly Enhanced Thermal Conductivity in Polyimide Composites with the Matching of Graphene Flakes and Aluminum Nitride by in situ Polymerization " , Polym. Compos., 2020, 41, 740−747.custom:[[[-]]]
  • 48 D. Ding, Z. Shang, X. Zhang, X. Lei, Z. Liu, Q. Zhang, Y . Chen, "Greatly Enhanced Thermal Conductivity of Polyimide Composites by Polydopamine Modification and the 2D- Aligned Structure", Ceramics International, 2020, 46, 28363− 28372.custom:[[[-]]]