감과 쪽으로 염색한 단색 직물의 색채감성과 선호도 : 한국과 중국의 비교 문화

이상희 , 최종명 , 이은주

Abstract

Abstract: This cross-cultural study was purposed to describe color emotional aspects of fabric dyed with persimmon and indigo in order to enhance the range of products employed in fashion and textile design in global market. Precisely, we attempted to compare Koreans and Chinese focusing on deriving significant physical colorimetric attributes to quantify their color emotion and preference of the dyed fabrics. As results, some significant cross-cultural differences for color emotions and preference were found including that persimmon-dyed cotton fabrics were perceived as more traditional in color by Koreans than by Chinese while indigo-dyed ones were felt by Chinese as coloring more pleasant. Color emotions by each national observers were found as significantly correlated with colorimetric properties. Finally, preference to color of a set of cotton fabrics dyed with persimmon and indigo was also quantified for each nation using objective color saturation, CIE C which was more closely correlated with color preference, which could be utilized to design more sensible naturally dyed fabric for international consumers.

Keywords: cross-cultural comparison , color emotion and preference , persimmon dye , indigo dye , cotton fabric

1. Introduction

Persimmon and indigo have been main traditional natural dyeing stuffs in Korea as well as other Asian regions. Persimmon-dyed fabrics have been known as are unique traditional textiles in some areas of Korea including Jeju and their color ranges, in hue, from yellow to red with toning grayish or dull generally. They have been known as their practical properties for work clothes such as antimicrobial activity and wear comfort and their color which signifies a cultural meaning in Korean regional history, and reminds modern consumers of its end use as well as its perceived eco-friendly dyeing procedure [1,2]. Indigo has been known as the oldest plant-based dye for bluish hue along human history and furthermore it has been also applied for Korean traditional textiles for a long time owing to its excellent dyeing properties and colorfastness [3]. It provides a diversity of colors ranging from light to dark blue which let people stabilized emotionally due to its unique color image. By a series of comprehensive researches in Korea [46], both persimmon and indigo have been nominated by dyeing experts to have the highest future developmental value. Accordingly, these views have led to increasing researches for persimmon and indigo as their dyeing on textiles and a variety of applications than any other natural colorants [7].

On the other hands, persimmon has been one of the most important fruits in China in autumn [8] and has been used to color fabrics in accordance with local traditional designs, which implies cultural insight has been integrated with persimmon dyeing in China [9]. Indigo is the representative plant dye resource for coloring in blue for textiles with maximum production potential and the most expended historical significance as a part of China’s intangible cultural heritage and natural indigo has been utilized currently on a large scale in China [10]. Additionally, in China, naturally dyed apparel in blue with indigo was reported as divided into tradition and ethnic styles in commercial fashion brands and consumers’ preference for it embodies natural feeling and aesthetics [11]. A previous study investigating Chinese consumers' satisfaction with naturally dyed garments provided key factors influencing demand, including comfort, which implies a growing market potential for naturally dyed textiles in China [12].

There has been a growing interest in natural dyeing owing the re-evaluation of ecology in many industrial areas including fashion and textiles, the products with colors of natural feeling are preferred. For that reason, natural dyed fabrics can meet the current global trend in color. Moreover, the color of naturally dyed textiles with regional unique sensibility needs to be studied in terms of cross-cultural comparison. Persimmon and indigo dyeing have witnessed an increased potential as cultural fashion products among international consumers owing to their cultural values as well as their environment-friendly attributes. Their color emotional aspects by domestic consumers have been investigated respectively [2], [13] and their cross-cultural investigations between Koreans and Americans [14,15] were also reported respectively. On the other hands, a cross-cultural study [11] revealed Chinese people have more emotion identity and higher intention to consume natural blue-dyed apparel than Japanese. Now in this context, persimmon and indigo as representative natural dyeing materials, could be worthwhile to be investigated together for their colors on fabrics in terms of emotional aspects and preference for more diverse national backgrounds such as other Asian areas beside Korea.

Prior to investigation of single colors of fabrics by dyeing with persimmon and indigo, two-color combinations by separate dyeing with persimmon and indigo have been analyzed to get more practical data for the emotional images of naturally dyed fashion products with persimmon and indigo [16,17]. Nevertheless, a group of single colors by dyeing with persimmon and indigo separately on a fabric along with a variety of tones still needs to be studied in depth in order to establish significant data supporting emotional properties of more varied color combinations which will be investigated in a future. Therefore, this study was attempted to describe emotional aspects of single colors on fabric dyed in varied tones with persimmon and indigo respectively especially focusing on cultural comparison. Also, this study aimed at deriving significant physical colorimetric attributes that can be used to quantify subjective criteria in the assessment of single colors from dyeing with persimmon and indigo. Accordingly, a range of colors of cotton fabric was produced by dyeing with persimmon and indigo and the dyed fabrics were then evaluated in terms of color emotion terms and preference by two groups of observers from Korea and China. The relationship between each color term and the colorimetric attributes of dyed substrates was then examined. Finally, color preference by each group was quantified with colorimetric properties to enhance the range of products employed in fashion and textile design and to improve their global market.

2. Experimental

2.1. Materials

A woven cotton fabric (plain, 0.41 mm, 116.8 g/m2) was dyed with persimmon and indigo respectively in a range of shades. As for persimmon dye, the persimmon juice obtained by squeezing immature persimmon fruits in August was concentrated under reduced pressure with a vacuum rotatory evaporator for 4 h at [TeX:] $$40^{\circ} \mathrm{C}$$ and it was put into freeze-drying process for obtaining dye powder as described in a previous study [2]. In terms of indigo dye, a commercially available powder (Art&Craft, Korea) was purchased for dyeing with an alkaline agent (sodium carbonate) and a reducing agent (hydrosulfite).

2.2. Dyeing Methods and Color Characteristics

A range of dye concentrations chosen for different tones by each dye on cotton and the resultant K/S values as color strength at a wavelength of maximum absorbance for each dye were presented in Table 1. Persimmon dye powder was applied under the concentration of 10, 50, and 90 on the weight of fabric (hereafter owf) while indigo was employed under the concentrations of 10, 40, and 100 owf. The values of K/S were measured on the surface of dyed fabrics to depict color strength or dye uptake at 360 λ for persimmon and at 640 λ for indigo respectively as a wavelength of maximum absorbance. It needs to be explained that persimmon dyed cotton fabrics were exposed to sunlight for 10 days, according to the local traditional persimmon-dyeing method to fix the colorant whereas indigo dyeing included chemical reaction of the dye such as reductions.

Table 1.
Dye concentrations and K/S values of dyed fabric samples

*Measured at 360 λ for persimmon and at 640 λ for indigo respectively as a wavelength of maximum absorbance.

To obtain the colorimetric attributes of each dyed fabric including [TeX:] $$L^*, a^*, b^* \text {, and } C^*$$ in CIE, CIE illuminant D65 and CIE 10 supplemental standard observer were employed with a 2500D Minolta spectrophotometer (CM, Japan) and Munsell conversion software (version 12.0.1.) was used to identify Munsell notations like H V/C. PCCS (Practical Color Coordination System) tone for each color was also determined that three different tones for each dye were obtained; pale, soft, and dull for persimmon and light grayish, soft, and dark for indigo respectively. Color characteristics of dyed specimens were given in Table 2. Each fabric sample (size, 9×9 cm2) was framed in A4 size neutral gray matte boards to be presented to participants in subjective visual assessment.

Table 2.
Color characteristics of dyed fabric samples
2.3. Subjective Assessment of Color Emotion and Preference

Two groups of observers consisting of 37 Koreans and 30 Chinese took part in the subjective visual assessment to give scores of color emotion terms and color preference for six single colors of dyed fabric samples. Korean observers were female college students in dept. of Fashion and Textiles at Jeju National University, Korea while Chinese counterparts were also female students in College of Human Ecology at Chungbuk National University, Korea. Each participant was then instructed to sit in front of a viewing booth (Judge II GretagMacbeth) illuminated by a D65 simulator to evaluate color emotion and preference of each sample after getting Ishihara’s Tests for Color Deficiency. A full factorial design was used for the visual assessment with random numberings of samples. Each sample was given to each participant one at a time at a distance of about 50 cm and thus the viewing angle was about [TeX:] $$10^{\circ}$$ vertically and a 0/45 illumination/ viewing geometry was employed.

The observers were asked to fill out the questionnaire dealing with twelve aspects of color emotion including (a) Warm, (b) Soft, (c) Light, and (d) Strong as primary emotions, and (e) Natural, (f) Pleasant, (g) Traditional, and (h) Comfort as composite emotions. Finally, color preference was assessed for dyed fabric samples using the descriptor of (i) Like. The descriptors were investigated on 7-point scales respectively using semantic differential methods by numbering from -3 to +3 for both national groups.

2.4. Data Analysis

For quantifying the analysis, t-test, correlation coefficients, and linear regression were employed using PASW (SPSS) version 18. An independent t-test to test the differences in responses between two national groups, Pearson’s correlation coefficient to relate each color term and preference with colorimetric attributes were applied. Color preference was predicted using regression models to assess the relationship between the objective measurement and subjective responses.

3. Results and Discussion

3.1. Comparison of Color Emotion Terms between Two Nations

Both two nations were compared in terms of color emotions for each dye. Table 3 shows that two different national groups showed significant differences in color emotion terms more for persimmon-dyed cotton fabrics (PDC) than for indigo-dyed ones (IDC). In terms of PDC, the mean scores of Soft, Natural, Traditional, and Comfort for PDC by Koreans were all significantly higher than those by Chinese, which means Koreans seemed to perceive PDC as more natural, more traditional, and more comfort than Chinese did. Persimmon-dyed cotton has been used traditionally for work wears of farmers and fishers in hot and humid weather in Jeju owing to its comfort properties, which might have influenced Koreans’ stronger feeling of Natural, Traditional, and Comfort for PDC as prior knowledges. On the other hands, the term, Strong for PDC was found as higher rated by Chinese than by Koreans. As for colors of IDC, there were also some significant emotional differences between two nations. Even though both national observers felt IDC as coloring less warm, Koreans’ scores were significantly lower. Among primary color emotions, Light didn’t show any significant difference between the nations for any dye types, which means that a primary emotion for color such as Light could show a higher agreement between two nations even in naturally dyed textiles. This result is supported by previous studies dealing with color emotions among different national groups [18,19]. Among the composite color emotion terms, Koreans seemed to perceive colors of IDC as more natural than Chinese did whereas Chinese were found to feel them as more pleasant. It needs to note that Chinese have positive mea scores of Pleasant for IDC colors while Koreans did negative ones.

Table 3.
Comparison of color emotion terms between Koreans and Chinese for each dye

*Means p < .05, **means p < .01.

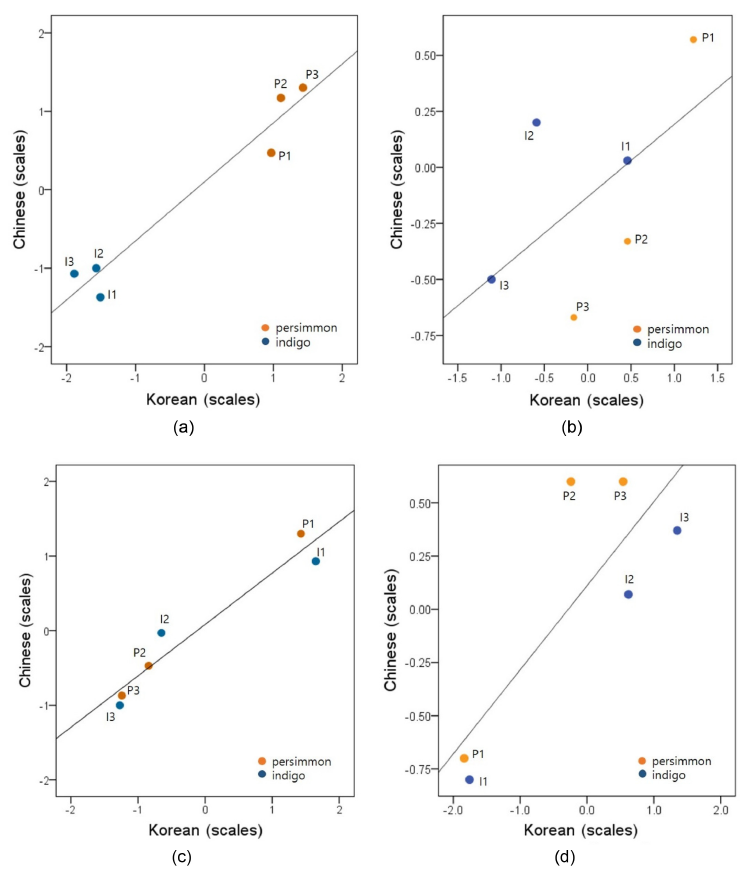
Figure 1.
Correlations between Korean and Chinese; (a) Warm (R 2=0.973, p < .01), (b) Soft (R 2=0.336, not significant), (c) Light (R 2=0.966, p < .01), and (d) Strong (R 2=0.684, p < .01).

Regardless of dye types, Natural, Traditional, and Comfort were positively perceived for both PDC and IDC by both national groups. In previous studies [2,11], Koreans and Chinese have been revealed respectively as emphasizing and pursuing natural and comfort aspects of naturally dyed textiles. In this study, Comfort as an emotional aspect was higher evaluated for both natural dyes even though Koreans’ perception for PDC was significantly stronger.

Despite the differences in responses between Koreans and Chinese for many aspects of color emotion, if two national groups have any correlations to each other for each color emotion was examined by Pearson’s correlation coefficients. As given in Figure 1, higher correlations were seen between Koreans and Chinese in terms of Warm, Light, and Strong for all dyed fabric samples. These results were partially supported by previous works [15,1820] in that such primary color emotions could give rise to higher agreements among cultures because they seemed to be dominantly influenced by quantitative colorimetric values such as physical lightness and chroma rather than cultural backgrouns. In particular, Light exhibited stronger agreements between two different cultural divisions, which might be supported by a previous work that found better correlations among some areas in East Asia for color emotion pairs including lightdark and heavy-light [18]. The term Warm was tended to be scaled depending on hue more. Precisely, shades of Yellow Red on PDC fabrics were much higher rated than those of Blue or Purple Blue from IDC, which might have resulted in good agreements between Koreans and Chinese. On the other hands, unlikely to the other primary color emotions, ‘Soft’ was not thought as having significant correlations between Koreans and Chinese, which could lead to an assumption that the emotion might be differently determined according to national groups.

3.2. Comparison of Relationships between Color Emotion and Colorimetric Attributes

In order to investigate the relationships between color emotion and physical colorimetric attributes in CIE color system, Pearson’s correlation coefficients were obtained between them as given in Table 4. Primary color emotions like Soft, Light, and Strong, for both naturally dyed fabrics were revealed as significantly correlated with colorimetric attributes, which means they seemed to be affected mainly by physical properties such as lightness and color saturation. These results were supported by a previous study that emotional responses to color vary more strongly with regard to tone than to hue categories [21]. Color emotion Warm showed significant coefficients only for Chinese in PDC negatively with CIE L but positively with CIE C, which implies Chinese students might perceive Warm stronger as color of persimmon-dyed cotton got less light and more saturated. Nevertheless it could be considered that hue is more dominant to assess Warm in general. If CIE a and b parameters were employed for Warm, any significant correlations could be obtained. Both national groups were thought as feeling the naturally dyed fabrics were softer and lighter in color as CIE L values indicating lightness were higher while as CIE C values depicting color saturation were lower. On the contrary, color emotion term Strong gained higher rates for both Koreans and Chinese as CIE L values were lower while CIE C values higher. In general, Korean and Chinese people tended to have higher agreements with the relationships between the physical attributes and color emotion terms such as Light and Strong than any other relations. This result might be concerned with the higher correlations for the emotions between two nations as mentioned in Figure 1(c). As for IDC, it is noticeable that Koreans seemed to give higher scores to Soft as CIE L got higher whereas Chinese did as CIE C higher, which means that a determinant physical color attribute for Soft might be different depending on cultural backgrounds. This result was also thought as concerned with the less agreement between the two national groups for Soft as discussed in Figure 1(b). On the other hands, among primary color emotion terms, Warm exhibited significant correlation coefficients with both CIE L and CIE C only for PDC fabrics assessed by Chinese. Precisely, CIE L was negatively correlated with Warm by Chinese while CIE C positively with it, which indicates Chinese students might perceive Warm stronger as physical color of PDC got less light and more saturated. Since color saturation in PDC corresponds to the increase of redness and yellowness from the fact that its hue was Yellow Red for all three samples, an integration of hue and saturation might be thought to enforce the feeling of Warm of Chinese.

Table 4.
Correlation coefficients between colorimetric attributes and color emotion terms by each nation

*Means p < .05, **means p < .01.

On the contrary, the composite color emotion terms like Natural, Pleasant, Traditional, and Comfort were less correlated with physical color attributes compared to the primary ones and they were seen as differently determined with CIE properties depending on both nations and dyes. Precisely, as for Natural, significant coefficients were obtained only for IDC evaluated by Koreans in that CIE L was seen as a positive factor while CIE C as a negative one. This result indicates that Koreans tended to feel color of IDC more natural as it was lighter and less saturated. As for Pleasant CIE L gave rise to stronger feeling whereas CIE C did less strong perception when Chinese observed PDC fabric samples. It should be noticeable that both CIE L and C of IDC were significantly correlated with Pleasant by both two national observers in that CIE L was positively influential while CIE C negatively.

In terms of Traditional, Koreans were found as affected by physical colorimetric attributes only for PDC while Chinese only for IDC. Nevertheless, when both national observers assessed Traditional, CIE L was a positive indicator while CIE C a negative one regardless of dye types. These results imply Koreans seemed to be affected by CIE colorimetric attributes more for PDC whereas Chinese did by CIE properties for IDC. As for Comfort, it might be interesting that CIE C was positively influential to Koreans’ perception while it negatively to Chinese feeling about colors of IDC. This finding could be considered in particular to design indigo-dyed cotton products by differentiating emotional comfort of the two different national consumers.

3.3. Comparison of Color Preference Related with Colorimetric Attributes and Color Emotion Terms

Color preference term, Like by the two national groups was compared depending on dyed samples and on dye types respectively using t-test. Figure 2(a) gives the results between two nations for each fabric sample. According to the mean values of color preference, Chinese preferred the most lightly dyed PDC (P1) the most whereas Koreans did the most deeply dyed IDC (I3) the most. On the contrary, P2, softly toned PDC was the least preferred sample by both two national observers. Among PDCs, both national groups gave the highest scores to the most pale-toned fabric (P1), which showed agreement with a previous study by [15] which reported more weakly dyed fabric with persimmon was preferred by both Koreans and Americans. As for IDCs, Koreans showed much higher preference to Chinese. However, a significant difference was confirmed only for I3, the most deeply colored one among IDCs in that Koreans’ rates seemed as significantly higher than Chinese’s (t=3.246) for it. This result means that Koreans and Chinese might differ in color preference for deeply colored IDCs with regarding the obvious decrease of mean rate of I3 by Chinese compared to that of I2. Depending on dye types, even though both of nations had higher mean rates of color preference for IDC than for PDC, a significant difference (t=-4.08) between two dyes was found only for Koreans as presented in Figure 2(b). This result indicates that Koreans prefer IDC to PDC significantly while Chinese counterpart did not differ in color preference between the two dye types.

Color preference was examined in terms of their relations with physical colorimetric attributes, CIE L and CIE C as presented in Table 5. PDC samples were revealed as having significant correlations between color preference and colorimetric attributes while IDC was not. They were seen as preferred more as CIE L got higher but CIE C did lower with considering that they had positive correlation coefficients with CIE L while negative with CIE C. These results were supported by that P1 with the highest CIE L and with the lowest CIE C was the most preferred by two groups as discussed above. In other words, both Koreans and Chinese might prefer lighter and less saturated shades of PDC. On the contrary, color preference was not significantly explained with any colorimetric attributes for IDC by both nations. For all dyed fabric samples, CIE C was shown as significantly correlated with color preference, which was explained in detail that it was negatively influential. From this result, Koreans and Chinese were thought to prefer less deeply colored dyed cotton with the two different natural dyes. Even though Koreans prefer I3, the most deeply dyed with indigo as discussed in Figure 2(a), its difference from other IDS samples was not obvious but the least preference for I3 by Chinese was seen as more distinctly.

Figure 2.
Comparison of color preference (a) of each dyed sample depending on nations and (b) of each nation depending on dye types.
Table 5.
Correlation coefficients between colorimetric attributes (L and C) and color preference Like

**Means p < .01.

In general, physical color saturation, CIE C seemed to affect color preference more than CIE L in that it was a significant explainer for all dyed fabrics. This result is differentiated from those of some previous studies [2], [13] reporting that persimmon-dyed cotton fabric and indigodyed cellulosic fabrics had respectively significant relations between color preference and CIE L. This discrepancy implies that naturally dyed fabrics consisting of hues more than two could give rise to a variety of influential factors for color preference besides color lightness. To establish a predictive model by CIE C for color preference of all dyed fabrics including both persimmon and indigo-dyed ones, color preference term, Like was linearly regressed with CIE C for each national group as shown in Figure 3. Both Koreans and Chinese seemed to show a good measure of fitness when they have quadratic regressions between Like and CIE C, which is supported by a previous study [15] in that color preference of persimmon-dyed cotton was reported as regressed by a quadratic relationship with a physical color parameter.

Figure 3.
Color preference, Like regressed linearly by CIE C* for (a) Korean and (b) Chinese observer.
Figure 4.
The performance of prediction models for Like; (a) Korean (R 2=0.926, p < .01) and (b) Chinese (R 2=0.721, p < .01).

Finally, regression models for color preference quantified with CIE C considering linear regressions in Figure 3 were established as in Eq. (1) and (2). These equations showed higher R2 and they may be used to predict color preference for all dyed fabrics including PDC and IDC as representative naturally dyed fashion textiles in Korea and China with consideration of international consumers.

(1)
[TeX:] $$\begin{aligned} & \text { 'Like }(\text { Koreans }) '=-0.003 \cdot C^2+0.078 \cdot C+0.950 \\ & \quad\left(R^2=0.798, \mathrm{p}\lt.01\right) \end{aligned}$$

(2)
[TeX:] $$\begin{aligned} & \text { 'Like }(\text { Chinese })=0.0002 \cdot C^2-0.034 \cdot C+1.200 \\ & \quad\left(\mathrm{R}^2=0.721, \mathrm{p}\lt .01\right) \end{aligned}$$

The performance of the prediction models including Eq. (1) and (2) for Like was tested as shown in Figure 4. Both models for Koreans and Chinese observers, respectively, exhibited a good measure of fitness, implying their potential use as the prediction models of preference to naturally dyed cotton fabrics consisting of a set of fabrics dyed with persimmon and indigo.

4. Conclusion

This study was carried out as a cross-cultural comparison of color emotion and preference for a set of two different naturally dyed fabrics. A cotton woven was dyed with persimmon and indigo respectively at a range of dye concentrations to get a total of six differently toned specimens with their physical colorimetric attributes measured objectively. Two different groups of observers consisting of Korean and Chinese female students at universities took part in subjective assessment of color emotion and preference of the dyed samples.

1. As for cultural comparison of each color emotion between Koreans and Chinese, Persimmon-dyed cotton (PDC) fabric samples were perceived as more natural, more traditional, and more comfort as for their colors by Koreans than by Chinese whereas indigo-dyed cotton (IDC) seemed to be felt as more pleasant and more dynamic by Chinese observers than by Korean counterparts, with potential expanded end use and appeal in the Chinese market. Nevertheless, two both national groups agreed that PDC and IDC could provide positive feeling of Natural, Traditional’ and Comfort which implies that the color emotional aspects would be utilized as key fashion images for naturally dyed textiles in Asian markets.

2. Primary color emotions such as Light and Strong showed higher correlations with colorimetric attributes such as CIE L and C and they showed much better agreements between Koreans and Chinese with similar trends between two national groups. On the other hands, in terms of composite color emotion terms, their significant correlations with physical colorimetric attributes were found only for some of emotions by each nation. Positive ‘Traditional’ could be designed by lower CIE L and higher C to appealing to Korean consumers with PDC while it might be to be accepted by Chinese with IDC. It should be also noted that Chinese might pursue Pleasant emotionally from both PDC and IDC with higher CIE L and lower C.

3. Both national observers preferred the most light-toned cotton among PDC samples without statistical differences while among IDC ones they didn’t have any agreement. In indigo-dyed textile market in China, the most lightlytoned cotton is expected to be accepted more considering the highest preference in this study while in Korea the deepest one might be chosen more.

4. Finally, preference to color of a set of fabrics dyed with persimmon and indigo was quantified by a quadratic regression for each nation using an objective color saturation value, CIE C which was more closely correlated to color preference with a good measure of fitness. The predictive models for color preference of PDC and IDC could be applied to design colors of the naturally dyed textile goods by managing CIE C, an objective colorimetric attribute.

The results leads to the conclusions that the design and development of naturally dyed textiles as a cultural product in the global market could be performed by the prediction of color emotion and preference with objective colorimetric parameters considering cultural differences. It should be noted that the predictive equations are specified only for a set of persimmon-dyed and indigo-dyed cotton fabrics which were in range of hues consisted of Yellow Red and Purple Blue. Emotional specifications in this study has a limitation to be driven from Koreans and Chinese only.

In a future study, more different regions including Japan, America, and European countries need to be invited for cross-cultural comparison. Another future study will address more comprehensive assessments of fashion images including the terms classic, sophisticated, elegant, and romantic for application to textile goods dyed with persimmon and indigo.

References

  • 1 S. Ahn and H. Lee, "Research and Survey Gal-ot Product in Jeju" , Korean Fashion & Text. Res. J., 2014, 16, 520−531.custom:[[[-]]]
  • 2 E. Yi, "Color Sensibility Factors of Cotton Fabrics Dyed with Persimmon Powder" , Text. Sci. Eng., 2004, 51, 327−335.custom:[[[-]]]
  • 3 W . K. Lee, E. J. Sung, J. R. Moon, I. Y . Ahn, K. H. Y oon, Y . C. Park, and J. H. Kim, "Performance Analysis of Ink for Digital Textile Printing Using Natural Indigo" , Text. Color. & Finish., 2011, 33, 202−209.custom:[[[-]]]
  • 4 M. N. You and E. K. Roh, "A Preliminary Study on Natural Dyeing by the Delphi Method (Part I)- With the Focus of Key Issue-" , J. Korean Soc. Cloth. Text., 2005, 29, 859−867.custom:[[[-]]]
  • 5 E. K. Roh and M. N. You, "A Preliminary Study on Natural Dyeing by the Delphi Method (Part II)- With the Focus of Key Issues and the View-" , J. Korean Soc. Cloth. T ext., 2006, 30, 31− 37.custom:[[[-]]]
  • 6 M. N. You and E. K. Roh, "A Preliminary Study on Natural Dyeing by the Delphi Method (Part III)-Developing V aluation of Natural Dyes-" , J. Korean Soc. Cloth. Text., 2006, 30, 733− 741.custom:[[[-]]]
  • 7 C. Nam, J. Y u, and H. Park, "Color Characteristics and Images of Korean Blue-Based Natural Dyeing Fabrics" , J. Korean Soc. Costume, 2022, 72, 1−25.custom:[[[-]]]
  • 8 R. C. T ang, "Sources for Natural Colorants in China " , Handbook of Natural Colorants, 2023, pp.89−101.custom:[[[-]]]
  • 9 P . M. Lin, K. L. Peng, and L. Ren, "Xinpu Persimmon Dye: Evolution from a Local to a Global Industry" , J. China T ourism Res., 2015, 11, 214−228.custom:[[[-]]]
  • 10 S. Li, A. B. Cunningham, R. Fan, and Y . W ang, "Identity Blues: the Ethnobotany of the Indigo Dyeing by Landian Yao (Iu Mien) in Yunnan, Southwest China" , J. Ethnobiol. Ethnomed., 2019, 15, 1−14.custom:[[[-]]]
  • 11 X. Xue and L. Li, "Fashion Consumption of Naturally Dyed Products: A Cross-Cultural Study of the Consumption of Blue-Dyed Apparel Between China and Japan", Fibres Text. East. Eur., 2023, 31, 52−65.custom:[[[-]]]
  • 12 H. Xu and H. Y. Song, "Key Factors Influencing Chinese Consumers’ Demand for Naturally Dyed Garments: Data Analysis through KJ Method and KANO Model" , Sustainability , 2024, 16, 1189−1216.custom:[[[-]]]
  • 13 J. Choi and J. Shin, "Color Sensibility and Preferences for Cellulose Fabrics Dyed with Natural Indigo According to Fiber Type and Dyeing Condition" , Sci. Emot. Sensib., 2017, 20, 3−12.custom:[[[-]]]
  • 14 J. Choi and S. Kim, "Cross-Cultural Study of Color Sensation and Sensibility for Korean Traditional Fabrics with Natural Indigo Dyeing" , Fiber. Polym., 2013, 14, 138−145.custom:[[[-]]]
  • 15 E. Yi and R. Shamey, "Crosscultural Comparison of Color Terms and Preference of Persimmon-Dyed Fabric, Galchon" , Color Res. Appl., 2015, 40, 592−604.custom:[[[-]]]
  • 16 E. Yi, S. H. Lee, and J. Choi, " A Comparative Study of Color Emotion and Preference of Koreans and Chinese for Two- Color Combination by Naturally Dyed Fabrics with Persimmon and Indigo" , J. Korean Soc. Cloth. Text., 2022, 46, 33−48.custom:[[[-]]]
  • 17 D. Yoon, Y. Yang, J. Ahn, and E. Yi, "Color Emotion Factors and Preference of Two-Color Combinations with Contrast T ones by Naturally Dyed Fabrics with Persimmon and Indigo" , Fiber. Polym., 2024, 25, 2695−2706.custom:[[[-]]]
  • 18 J. H. Xin, K. M. Cheng, G. Taylor, T. Sato, and A. Hansuebsai, "Cross‐Regional Comparison of Colour Emotions Part I: Quantitative Analysis" , Color Res. Appl., 2004, 29, 451−457.custom:[[[-]]]
  • 19 L. C. Ou, M. R. Luo, A. W oodcock, and A. Wright, " A Study of Colour Emotion and Colour Preference. Part I: Colour Emotions for Single Colours" , Color Res. Appl., 2004, 29, 232− 240.custom:[[[-]]]
  • 20 L. O. Ou, M. Ronnier Luo, P . L. Sun, N. C. Hu, H. S. Chen, S. S. Guan, A. Woodcock, J. L. Caivano, R. Huertas, A. Treméau, M. Billger, H. Izadan, and K. Richter, "A Cross‐Cultural Comparison of Colour Emotion for Two‐Colour Combinations" , Color Res. Appl., 2012, 37, 23−43.custom:[[[-]]]
  • 21 H. J. Suk and H. Irtel, "Emotional Response to Color Across Media " , Color Res. Appl., 2010, 35, 64−77.custom:[[[-]]]

Table 1.

Dye concentrations and K/S values of dyed fabric samples
Specimen Dye Dye conc. (%, owf) K/S*
P1 Persimmon 10 0.73
P1 50 4.06
P3 90 6.26
I1 Indigo 10 0.22
I2 40 3.61
I3 100 17.53

Table 2.

Color characteristics of dyed fabric samples
Specimen Dye Photo PCCS tone Munsell CIE
H V C [TeX:] $$L^*$$ [TeX:] $$a^*$$ [TeX:] $$b^*$$ [TeX:] $$C^*$$
P1 Persimmon table1.png p 5.85YR 8.73 0.77 88.49 1.61 4.08 4.39
P1 table2.png sf 4.51YR 6.78 5.28 69.45 14.31 26.03 29.70
P3 table3.png d 2.95YR 5.94 6.33 61.11 19.85 28.41 34.66
I1 Indigo table4.png ltg 1.92B 7.05 1.42 72.10 -5.61 -3.15 6.43
I2 table5.png sf 0.34PB 4.44 4.75 45.82 -5.77 -18.67 19.54
I3 table6.png dk 0.50PB 3.63 4.63 37.29 -4.91 -19.25 19.86

Table 3.

Comparison of color emotion terms between Koreans and Chinese for each dye
Color emotion term Persimmon Indigo
Mean t-value Mean t-value
Korean Chinese Korean Chinese
Primary Warm 1.17 0.98 1.04** -1.66 -1.15 -2.46*
Soft 0.51 -0.14 2.85** -0.41 -0.09 -1.51
Light -0.22 -0.01 -0.85 -0.09 -0.03 -0.22
Strong -0.51 0.17 -2.82** 0.07 -0.12 0.79
Composite Natural 1.80 0.87 5.33** 0.84 0.33 2.46*
Pleasant -0.74 -0.42 -1.44 -0.12 0.92 -4.51**
Traditional 2.18 0.86 7.69** 0.01 0.17 -0.75
Comfort 1.55 0.74 4.40** 0.96 0.79 0.99

Table 4.

Correlation coefficients between colorimetric attributes and color emotion terms by each nation
Color emotion term Persimmon Indigo
L C L C
Korean Chinese Korean Chinese Korean Chinese Korean Chinese
Primary Warm -0.13 -0.28** 0.12 0.28** 0.09 -0.10 -0.07 0.11
Soft 0.25** 0.28** -0.29** -0.30** 0.41** 0.11 -0.39** -0.07
Light 0.69** 0.56** -0.70** -0.56** 0.67** 0.46** -0.66** -0.42**
Strong -0.56** -0.37** 0.56** 0.38** -0.73** -0.31** 0.71** 0.30**
Composite Natural -0.12 0.12 0.11 -0.12 0.21* -0.10 -0.19* -0.08**
Pleasant 0.14 0.43** -0.14** -0.43** 0.23* 0.48** -0.21** -0.48**
Traditional -0.40** -0.14 0.39** 0.11** -0.03** -0.23* 0.04 0.21*
Comfort -0.01 0.19* -0.01 -0.16 0.29** 0.00 0.21* -0.29**

Table 5.

Correlation coefficients between colorimetric attributes (L and C) and color preference Like
Korean Chinese
Persimmon Indigo Total Persimmon Indigo Total
L 0.19** -0.04 -0.12 0.23** 0.09 0.07
C -0.20** 0.04 -0.20** -0.25** -0.07 -0.20**
Correlations between Korean and Chinese; (a) Warm (R 2=0.973, p < .01), (b) Soft (R 2=0.336, not significant), (c) Light (R 2=0.966, p < .01), and (d) Strong (R 2=0.684, p < .01).
Comparison of color preference (a) of each dyed sample depending on nations and (b) of each nation depending on dye types.
Color preference, Like regressed linearly by CIE C* for (a) Korean and (b) Chinese observer.
The performance of prediction models for Like; (a) Korean (R 2=0.926, p < .01) and (b) Chinese (R 2=0.721, p < .01).