κ-카라기난/나노 실리케이트 기반 하이드로겔을 이용한 3D 프린팅

장재원 , 한영배 , 강민관 , 나양호

Abstract

Abstract: In this study, the rheological properties, output characteristics, and mechanical properties of hydrogel mixed with κ-carrageenan and Laponite-XLS were quantitatively analyzed according to 3D printing process conditions. The 3D printing device was designed and manufactured as a pressure-type device with temperature control for stable transport and precise layering of hydrogel. The printing quality map was obtained according to printing conditions (nozzle temperature, pressure, nozzle movement speed, etc.) and it was confirmed that stable printing was possible under optimal printing conditions. The stability was confirmed through a tensile test on the joints between the printed fibers, and Dog-bone-shaped specimens were manufactured under printing direction (parallel, tilted) and infill density (30%, 50%) conditions and tensile tests were performed. As a result, the tensile strength tended to significantly increase as the printing direction was aligned with the tensile load and the infill density increased. As a result, it was confirmed that the κ-carrageenan/Laponite-XLS composite hydrogel has sufficient potential as materials that satisfies structural precision, rheological controllability, and mechanical stability when combined with 3D printing technology.

Keywords: κ-carrageenan , nanosilicate , hydrogel ink , 3D printing , shear-thinning , thermorev- ersible gelation

1. 서 론

하이드로겔은 높은 수분 함량과 유연성을 가지며 생체적합성이 우수한 고분자 물질로, 조직공학, 약물 전달, 상처 치유 및 바이오센서 등 다양한 생물 의학적 응용 분야에서 활용되고 있다[13]. 특히 하이드로겔은 세포 생존에 유리한 수분 환경을 제공하며 다양한 첨가물질을 통해 외부 자극(온도, pH, 이온 농도 등)에 반응하는 스마트 소재로도 기능할 수 있어 생체 환경을 모사하는 데 적합하다[13]. 이러한 장점으로 인해 최근에는 하이드로겔을 이용한 3차원(3D) 바이오프린팅 기술이 활발히 연구되고 있다.

3D 프린팅 기술은 생체재료에 기반을 둔 구조물을 설계대로 정밀하게 제작할 수 있는 차세대 조직 제작 방식으로 주목받고 있으며 그 핵심은 세포 또는 생체분자가 포함된 바이오잉크(bioink)의 개발에 있다[47]. 바이오잉크로 활용되기 위해서는 재료가 생체적합성을 갖추는 동시에 적절한 점도와 유동성, 프린팅 이후의 형상 유지력 및 기계적 안정성을 가져야 한다[810]. 이에 따라 알지네이트[11], 젤라틴[12], 히알루론산[13], 폴리에틸렌글리콜[14] 등의 다양한 고분자 하이드로겔이 시도되어 왔으나 대부분은 낮은 점도, 낮은 기계적 강도 또는 빠른 형상 붕괴 등의 한계를 보였다.

3D 프린팅에 적합한 하이드로겔 재료는 다음과 같은 특성을 갖춰야 한다. 첫째, 전단 박화(shear-thinning) 특성을 통해 노즐과 호스를 통과 시에는 점도가 낮아지고 노즐을 지난 후 프린팅 플랫폼에 닫기 전 점도가 회복되어 형상을 유지할 수 있어야 한다[15]. 둘째, 열적 또는 이온적 겔화 특성을 통해 가역적 고체화를 유도할 수 있어야 하며[16,17] 셋째, 기계적 안정성과 층간 접착력도 확보되어야 한다[8,10]. 또한 세포 생존에 영향을 주지 않기 위해 화학적 경화가 아닌 물리적 가교 방식이 선호되는데 물리적 가교의 경우 별도의 후처리 과정 없이 즉각적인 겔화를 유도하며, 복잡한 구조를 쉽게 구현할 수 있다는 장점이 있다[5].

이러한 요구 조건에 적합한 소재로 κ-카라기난(κ-carrageenan) 기반 하이드로겔이 최근 주목받고 있다. κ-카라기난은 홍조류에서 추출한 음이온성 선형 다당류로 온도에 따라 가역적인 겔화 특성(thermo-reversible gelation)을 보이며, K+와 같은 양이온에 의해 추가적인 이온적 가교(ionic cross-linking)가 가능하다[18,19]. 그러나 단독으로 사용할 경우 점도 및 형상 유지력에 한계가 있기 때문에 이를 보완하기 위해 Laponite-XLS와 같은 나노실리케이트(nanosilicate, nSi)가 첨가된 복합 하이드로겔이 개발되었다[7,20]. nSi는 2차원 판상 구조를 갖는 합성 점토계 나노물질로 하이드로겔 내에서 고분자 사슬과 물리적 상호작용을 통해 점도 회복력 및 기계적 강도를 향상시킨다[7]. 이에 따라 κ-카라기난/Laponite-XLS 복합 하이드로겔은 전단 박화, 형상 유지력, 생체적합성 등에서 우수한 3D 바이오프린팅 재료로 부각되고 있다.

특히, κ-카라기난/Laponite-XLS 복합 하이드로겔은 온도에 민감하게 점도가 변화하는 특성을 가지며, [TeX:] $$60^{\circ} \mathrm{C}$$ 이상에서 점도가 낮아져 유동성이 증가하고, [TeX:] $$37^{\circ} \mathrm{C}$$ 이하에서는 겔화가 시작되어 출력 후 구조체가 유지된다[21]. 이러한 온도에 따른 점도 변화 특성은 프린팅 중 원활한 잉크 이송을 위해 재료의 온도를 제어할 필요성을 야기한다. 이에 본 연구에서는 가열이 가능한 압력 탱크 시스템을 도입하고 압력에 의해 하이드로겔을 이송할 수 있는 3D 프린팅 실험 장치를 설계 및 제작하였다.

본 연구에서는 κ-카라기난/Laponite-XLS 복합 하이드로겔을 이용한 3D 프린팅 실험을 통해 하이드로겔의 유변학적 특성과 기계적 특성 등 물성을 분석하고, 제작된 장치의 운용 조건(압력, 온도, 이송 속도 등)을 최적화하여 정밀하고 안정적인 3D 구조체 출력을 구현하고자 한다. 이를 통해 향후 조직공학, 생체모사 구조 제작 등에 적용 가능한 고성능 바이오잉크 및 프린팅 시스템 개발에 기여하고자 한다.

2. 실 험

2.1. 시료 및 시약

본 실험에서는 백색의 분말 형태인 천연 다당류 고분자 κ-카라기난(TCI, Japan)을 사용하였고 첨가제로서 합성 실리케이트인 Laponite-XLS(BYK, Germany)를 사용하였다. 분산제로 [TeX:] $$\mathrm{Na}_2 \mathrm{HPO}_4$$(Samchun Chemicals, Korea)를 사용하였고 탈이온수(deionized water)를 사용하였다.

2.2. 하이드로겔의 제조

탈이온수에 분산제([TeX:] $$\mathrm{Na}_2 \mathrm{HPO}_4$$)를 첨가하고 소니케이터를 이용하여 균질하게 교반처리를 하고 4−7 wt% 농도의 Laponite-XLS를 첨가 후 [TeX:] $$80^{\circ} \mathrm{C}$$에서 30분간 가열 교반하여 완전히 용해시킨다. κ-카라기난을 2.5 wt% 농도로 첨가하여 [TeX:] $$80^{\circ} \mathrm{C}$$에서 60분간 추가로 교반하여 하이드로겔을 제조한다. 제조된 하이드로겔은 밀봉하여 상온에서 보관하며 사출 시에 온도 조절이 가능한 압력탱크 내에서 [TeX:] $$55^{\circ} \mathrm{C}$$로 충분한 시간 동안 예열하고 사용하였다.

2.3. 하이드로겔의 점도 특성

하이드로겔의 점도는 회전형 레오미터(DSR-500 CP-4000, Brookfield, USA)를 사용하여 측정하였다. Laponite-XLS 농도와 온도가 하이드로겔의 점도에 미치는 영향을 파악하기 위해 농도는 4 wt%에서 7 wt%까지, 온도는 [TeX:] $$40^{\circ} \mathrm{C}$$에서 [TeX:] $$55^{\circ} \mathrm{C}$$ 까지 변화시키며 점도를 측정하였다. 점도 측정은 전단 속도를 0.1 s-1에서 1000 s-1까지 변화시키며 연속적인 스캔 방식으로 측정하였다. 모든 측정은 동일한 조건에서 3회 반복하여 평균값을 분석하였다.

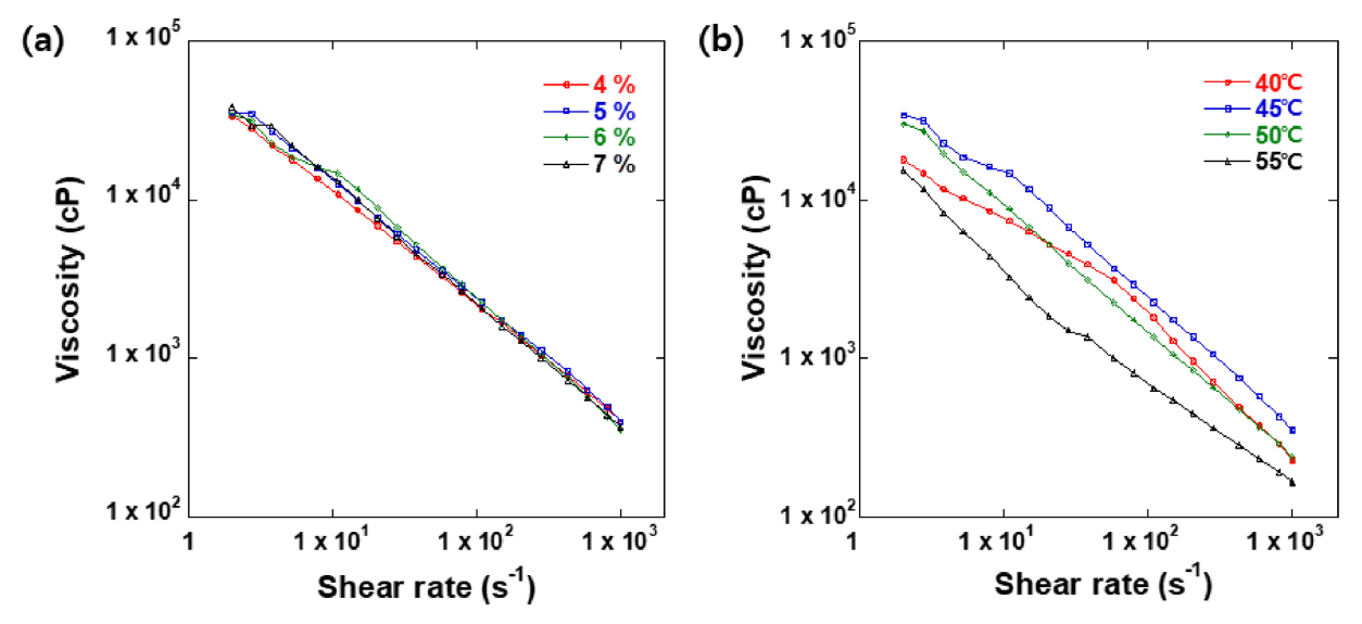
Figure 1은 온도와 Laponite-XLS 농도가 하이드로겔의 점도에 미치는 영향에 대해 보여주고 있다. 모든 조건에서 전단 속도가 증가할수록 하이드로겔의 점도가 감소하는 것을 확인하였고 하이드로겔의 전단 박화(shear-thinning) 거동이 명확히 나타났다. Laponite-XLS 농도에 따른 점도는 큰 차이를 보이지 않았으나 6 wt%의 경우에 3D 프린팅 노즐에서 하이드로겔의 출력이 다른 농도에 비해 좋은 출력 품질을 보였고 본 연구에서는 Laponite-XLS 농도를 6 wt%로 고정하였다[4]. 온도에 따라 하이드로겔의 점도는 큰 차이를 보였다. 일반적으로 온도가 높아질수록 용액의 점도는 계속 낮아지지만 본 연구의 하이드로겔은 온도가 올라감에 따라 오히려 점도가 증가하다가 [TeX:] $$45^{\circ} \mathrm{C}$$[TeX:] $$50^{\circ} \mathrm{C}$$ 사이에서 최댓값을 갖고 계속 더 온도가 올라가면 점도가 감소하는 특성을 보였다. 하이드로겔이 온도가 높아짐에 따라 점도가 증가하다가 감소하는 이유는 κ-카라기난의 코일-헬릭스 상전이에 따른 헬릭스 구조의 응집 및 고분자 네트워크 형성, 이후 고온에서 헬릭스 구조가 분리되어 네트워크가 붕괴되기 때문으로 판단되며 이런 현상에 대해 논하고 있는 논문은 Mika Iijima, Pietro Renato Avallone의 연구가 있다[22,23]. 하이드로겔의 이송을 용이하게 하기 위해 점도를 낮추는 것이 필요하기 때문에 압력탱크의 온도는 [TeX:] $$55^{\circ} \mathrm{C}$$로 고정하였고 3D 프린팅 노즐에서는 출력 후 출력물의 구조 유지를 위해 점도를 높이는 것이 필요하여 온도를 [TeX:] $$45^{\circ} \mathrm{C}$$로 유지하였다.

Figure 1.
Effect of Laponite-XLS concentration and temperature on the viscosity of the prepared hydrogel; (a) effect of Laponite-XLS concentration and (b) effect of temperature.
2.4. 하이드로겔의 FT-IR 분석

하이드로겔의 화학적 상호작용 및 구성 성분의 결합 구조를 확인하기 위해 FT-IR 분석을 수행하였다. 분석을 위해 FT-IR Spectrometer (PerkinElmer, USA)를 사용하였으며 파장 범위는 4000−500 cm-1로 설정하였다. 분석을 위한 하이드로겔 샘플은 사각형 플레이트에 담아 [TeX:] $$30^{\circ} \mathrm{C}$$의 오븐 안에서 24시간 이상 건조하여 필름 형태로 제작하였으며 ATR(Attenuated Total Reflectance, 감쇠 전반사) 방식으로 측정하였다.

Figure 2는 측정된 스펙트럼을 보여주고 있다. κ-카라기난은 파수(wavenumber)가 3000−3600 cm-1인 구간에서 넓은 범위는 하이드록실기 -OH의 신축 진동 피크가 관찰되었고, 2924 cm-1에서 C-H신축 진동 피크가 관찰되었다. 그외에 1643 cm-1 (H-O-H (deformation band)의 굽힘 진동), 1234 cm-1 (S-O 신축 진동), 1141 cm-1 (C-O 신축 진동), 1066과 1036 cm-1 (C-O-C 신축 진동), 920 cm-1 (C-O-C (3,6 anhydro-o-galactose) 진동), 844 cm-1 (C-O-SO3 신축 진동)에서 κ-카라기난의 작용기와 관련된 피크가 관찰되었다[24]. Laponite-XLS의 FT-IR 피크는 3630과 3400 cm-1 (-OH의 신축 진동), 1643 cm-1 (-OH의 굽힘 진동), 956 cm-1 (-SiO의 신축 진동)에서 관찰되었다[25]. 하이드로겔은 κ-카라기난과 Laponite-XLS의 각 성분에 대한 FT-IR 피크가 큰 변화 없이 관찰되었다.

Figure 2.
FT-IR analysis of κ-Carrageenan, Laponite-XLS, and their composite hydrogel.

스펙트럼 상의 피크 분포는 각 구성성분의 특성을 반영하며 하이드로겔의 내부에서 물리적 상호작용 및 결합구조 형성이 이루어졌음을 뒷받침하는 근거로 해석된다. 다만 시료 간의 큰 스펙트럼 이동이나 결합 특성 변화는 관찰되지 않았으며 이는 복합화 과정에서 화학적 결합 변화보다는 물리적 상호작용 중심의 복합 구조가 형성되었음을 의미한다.

2.5. 하이드로겔의 팽윤도 분석

하이드로겔의 수분 흡수 거동을 평가하기 위해 팽윤도를 측정하였다. 시료는 제조된 하이드로겔을 동결 건조하고 실온에서 24시간 이상 안정화하였다. 건조된 시료는 정밀 저울로 초기 무게 [TeX:] $$W_0$$를 측정한 후 실온의 탈이온수에 침지하였고 5분, 10분, 30분, 60분, 120분의 시간 간격으로 꺼내어 표면의 물기를 가볍게 제거한 후 팽윤된 상태의 무게 [TeX:] $$W_s$$를 측정하였다. 팽윤도는 다음의 식을 통해 계산할 수 있다.

(1)
[TeX:] $$\text { Swelling ratio }=\frac{W_s}{W_0} \times 100$$

시료 3개를 측정하여 각 시간대별 평균값을 사용하였고 Table 1에 결과를 나타내었다.

Table 1.
Swelling ratio according to immersion time

팽윤도는 침지 직후 급격히 증가하여 5분 시점에서 평균 411.7%로 최대치를 나타냈고, 이후 10분에서 405.5%, 30분에서 414.4%로 비교적 높은 수준을 유지하다가 60분에서 375.1%, 120분에서 228.6%로 급격한 감소를 보였다. 이는 수용액 상에서 하이드로겔 내부의 네트워크 구조가 수분을 빠르게 흡수하나 장시간 수화 상태에서는 구조적 안정성이 낮아져 붕괴되는 저가교 하이드로겔 특성과 일치한다. 본 연구에 사용한 하이드로겔이 보여주는 특징으로 사출 이전에 충분히 수분을 흡수할 수 있는 기능을 보여주지만 하이드로겔을 1시간 이상 수용액에 넣거나 수분과 접촉하는 경우 가교 구조의 변형이 일어나 팽윤 성능의 저하가 일어날 수 있음을 나타낸다.

2.6. 인장 시험

3D 프린팅 된 하이드로겔 구조물의 기계적 특성을 정량적으로 평가하기 위하여 국제 표준 규격인 ISO 527-2의 Model 5A에 따라 4 mm×2 mm×25 mm (width, thickness, gauge length)인 시편을 만들고 인장 시험을 수행하였다[26].

인장 시편은 FDM 방식의 3D 프린터로 제작한 뒤 상온에서 1시간 동안 자연 건조하여 표면 잔여 수분을 제거하였다. 인장 시험은 만능재료시험기(Universal Testing Machine, Shimadzu, AG-X)를 사용하였으며, 100 N Load cell을 장착하고 하이드로겔의 점탄성 특성을 고려하여 10 mm/min의 속도로 하중을 가하였다.

2.7. 실험장치

본 연구에서는 하이드로겔의 3D 프린팅을 위해 일반적으로 판매하는 FDM 방식의 3D 프린터(whanho 5s mini)의 프린팅 헤드를 개조하여 실험 장치를 제작하였다. Figure 3은 개조한 3D 프린터를 이용한 실험장치의 모식도를 보여주고 있다. 기존의 프린팅 헤드를 제거하고 하이드로겔을 출력할 0.6 mm 내경의 노즐을 설치한 후 노즐을 내경 4 mm 호스를 이용해 스테인리스 재질의 압력탱크에 연결하였다.

Figure 3.
Schematic diagram of experimental setup using modified 3D printer.

압력탱크의 부피는 1리터이며 내부 압력을 확인하기 위해 압력 센서를 부착하였고 압력을 가하기 위해 공기 압축기와 연결하였다. 하이드로겔의 온도를 제어하기 위해 압력탱크 외부에 히팅밴드를 부착하여 가열을 하였다. 히팅밴드는 슬라이닥스와 연결되어 있고 슬라이닥스의 전압을 조절함으로써 히팅밴드에 가해지는 가열량을 제어하였다. 압력탱크뿐만 아니라 하이드로겔이 출력되는 노즐에도 소형 히터를 부착해 노즐의 온도도 정밀하게 제어하였다.

압력탱크의 압력은 공기압축기의 압력 레귤레이터를 이용하여 3D 프린팅이 진행되는 동안에 일정한 압력이 유지될 수 있도록 하였다. 3D 프린팅의 제어는 3D 프린터와 연결된 PC에서 이루어지며 G-code 기반으로 작동하는 3D 프린터 제어 프로그램을 사용하여 노즐의 위치, 노즐의 이동 속도, 베드의 높이, 노즐의 온도 등을 제어한다.

2.8. 실험조건 최적화

하이드로겔의 안정적인 3D 프린팅을 위해 주요 출력 조건(노즐 온도, 압력탱크 내 압력, 노즐의 이동 속도)에 대하여 출력 품질을 확인하였다. 하이드로겔은 κ-카라기난 2.5 wt%, Laponite-XLS 6 wt%로 고정하여 제조하였다. 압력탱크의 온도는 [TeX:] $$55^{\circ} \mathrm{C}$$로 고정하였다. 주요 출력 조건들을 변화시키면서 출력 안정성(노즐 막힘 여부, 출력 라인 휘어짐, 누락 등)과 형상 유지력(라인의 직진도, 두께 등)을 기준으로 하였다. 하이드로겔의 점도가 높고 압력이 낮은 경우에 하이드로겔이 노즐을 통과하지 못하는 노즐 막힘 현상이 발생하고 압력을 너무 높이면 하이드로겔이 라인 출력 중 간헐적으로 재료가 끊기는 현상이 발생하였다. 반대로 점도가 너무 낮은 경우에는 노즐을 통해 나오는 하이드로겔의 유량이 일정하지 못하고 덩어리짐으로 인하여 출력 라인이 휘어지게 되는 현상이 발생한다. 하이드로겔 출력에 대하여 정성적인 평가를 통해 출력 품질을 3가지로 분류하였다.

Figure 4(a)에서 노즐의 이동 속도는 200 mm/min으로 고 정하여 실험을 하였고 노즐 온도는 [TeX:] $$35^{\circ} \mathrm{C}$$에서 [TeX:] $$60^{\circ} \mathrm{C}$$까지, 압력탱크 내부 압력은 150 kPa에서 350 kPa까지 변화시키 며 출력 품질을 확인하였다. 노즐의 온도가 [TeX:] $$40^{\circ} \mathrm{C}$$, [TeX:] $$45^{\circ} \mathrm{C}$$일 때 안정적인 출력이 이루어졌고 [TeX:] $$45^{\circ} \mathrm{C}$$의 경우 보다 넓은 압력 범위에서 안정적인 출력이 되었다. 실험 결과를 통해 노즐의 온도는 [TeX:] $$45^{\circ} \mathrm{C}$$로 고정하여 이후 실험을 진행하기로 결정하였다.

Figure 4(b)에서는 노즐의 온도는 [TeX:] $$45^{\circ} \mathrm{C}$$로 고정하였고 노즐의 이동 속도와 압력탱크 내부 압력의 최적 조건 결과를 탐색하였다. 노즐의 이동 속도가 160 mm/min에서 220 mm/min까지 안정적인 출력이 가능하지만 넓은 압력 범위가 가능한 200 mm/min을 최적 실험 조건으로 결정하였다. 또한 압력탱크 내부의 압력은 100 kPa로 결정하였다.

Figure 4.
Mapping of printing quality according to nozzle temperature, applied pressure, and printing speed in hydrogel 3D printing; (a) nozzle temperature versus pressure and (b) nozzle speed versus pressure. ●-Printable, ▲-Irregular, X-Non shaped

최적 실험조건 탐색을 통해 노즐 온도 [TeX:] $$45^{\circ} \mathrm{C}$$, 압력탱크 내 압력 100 kPa, 노즐의 이동 속도 200 mm/min으로 고정하였고 여러 번 동일한 실험을 진행하여 재현성을 확인하였다. 결정된 최적 실험조건으로 이후 인장 시편 출력 및 다양한 형상 출력 실험을 진행하였다.

2.9. 실험과정

κ-카라기난 2.5 wt%, Laponite-XLS 6 wt%로 제조된 바이오잉크 약 500 ml를 압력탱크에 넣고 밀폐한 뒤 히팅밴드에 전압을 걸어 가열을 시작한다. 압력탱크 내부의 온도가 [TeX:] $$55^{\circ} \mathrm{C}$$로 일정하게 유지될 때까지 가열을 지속한다. 일정한 온도를 확인한 후 공기압축기를 가동하고 압력 레귤레이터를 이용하여 압력탱크 내부의 압력이 100 kPa이 되기까지 조정한다.

압력과 온도 조건이 안정화되면 PC에서 3D 프린팅 프로그램으로 노즐의 위치를 조정하고 노즐의 온도를 [TeX:] $$45^{\circ} \mathrm{C}$$로 설정한다. 노즐은 압력탱크와 달리 부피가 작기 때문에 노즐 히터를 가동하면 짧은 시간 안에 노즐 온도가 설정된 온도에 도달한다. 설정 온도에 도달하면 압력탱크에서 3D 프린터로 연결된 밸브를 열어 바이오잉크가 이송되도록 하며 노즐도 동시에 미리 설정된 경로를 따라 이동하도록 한다.

노즐이 설정된 경로를 따라 이동하면서 안정적으로 하이드로겔이 출력이 되고 원하는 형상의 출력물 제작이 이루어진다. 출력이 완료된 이후에 약 1시간의 건조 시간을 가지면 하이드로겔이 완성이 된다.

3. 결과 및 고찰

3.1. Single fiber와 Stacked fiber의 기계적 물성 비교

출력된 하이드로겔 출력물의 기계적 특성을 정량적으로 평가하기 위해 인장시험(tensile test)을 수행하였다. 실험은 프린팅 후 출력된 겔이 실온에서 충분히 안정화된 상태에서 진행되었으며 시편은 단일선(single fiber) 및 적층선(stacked fiber) 형태의 직선 출력물 두 가지 형태로 제작하였다. 실험조건 최적화를 통해 결정된 실험 조건(노즐 온도 [TeX:] $$45^{\circ} \mathrm{C}$$, 압력탱크 내 압력 100 kPa, 노즐의 이동 속도 200 mm/min)으로 길이 10 mm의 single fiber를 출력하였다. 동일한 실험 조건으로 가로 길이 10 mm의 single fiber를 출력하고 노즐을 이동하여 출력된 single fiber 중앙을 지나도록 세로 길이 10 mm의 single fiber를 출력하여 stacked fiber를 제작하였다. 인장시험은 일정 속도로 인장되어 파단 시까지 수행되었으며 최대 인장강도(UTS), 연신율(elongation), 파단 위치 등을 기준으로 비교 분석하였고 실험 결과를 Figure 5에 나타내었다.

Figure 5.
Comparison of mechanical properties between single and stacked fibers.

Figure 5에서 single fiber와 stacked fiber의 S-S curve가 매우 유사하며 이것은 출력된 바이오잉크가 서로 겹쳐지는 경우에도 출력 층간의 결집이 잘 이루어지고 있음을 의미한다. 본 연구에서 탐색하여 결정한 최적 실험조건이 겉으로 보이는 것뿐만 아니라 물리적인 결합이나 기계적 물성 측면에서도 잘 결정된 조건임을 시사한다. 다만, stacked fiber의 최대 인장강도(UTS)가 66.92 kPa, single fiber는 49.08 kPa이며 연신율(elongation)은 각각 17.21%, 16.17%로 stacked fiber의 물성이 더 큰 값을 보이는데 이는 적층 구조에서 층간 결합과 재료 축적이 국소적인 파단 저항력을 증가시킨 결과로 해석된다.

3.2. 3D 프린팅 출력의 균일도

출력된 하이드로겔 구조물의 균일성을 평가하기 위해 50 mm×50 mm×3 mm (width, length, thickness) 직육면체를 출력하여 출력물의 여러 지점에서의 두께를 측정하였다. Figure 6은 출력물과 두께 측정 지점 및 측정 결과에 대해 보여주고 있다. 출력 이후 출력물을 [TeX:] $$30^{\circ} \mathrm{C}$$의 오븐 안에 넣어 18시간 동안 건조시킨 후 박막측정기(Mitutoyo, 543-390B, Japan)를 이용하여 Figure 6과 같이 총 5곳을 측정하였다. 측정한 값들의 평균은 3.07 mm이고 상대 표준 편차는 0.71%로 균일도가 상당히 높은 것을 확인하였다. 현재 실험 장치에서 결정된 최적 실험조건으로 출력 시 하이드로겔의 출력양이 변동 없이 일정함을 의미한다.

Figure 6.
Evaluation of uniformity in 3D printed structures: measurement locations and results.
3.3. 3D 프린팅 덕본 시편의 인장 실험

하이드로겔 3D 프린팅 출력물의 기계적 성능을 평가하기 위해 덕본(Dog-bone) 형상 시편에 대한 인장 시험을 수행하였다. 본 연구에서는 두 가지 주요 출력 조건인 출력 방향과 충전 밀도(infill density)을 실험 조건으로 설정하였다. 출력 방향은 인장 시험 방향에 대해 평행(parallel)한 조건과 기울어진(tilted) 조건의 두 가지이며 각 사출 방향별로 프로그램 설정에서 두 충전 밀도(infill density: 30%, 50%)로 설정한 후 실험을 진행하였다. 여기서 충전밀도 50%는 실험에 사용하는 3D 프린터가 가장 높은 밀도로 사출 가능한 수준이고 30%는 육안으로 확인된 가장 빈틈없이 사출되는 수준이었다. 시편은 3D 프린팅 방식으로 제작된 후 실온 조건에서 1시간 건조 과정을 거쳤다. 이후 만능재료 시험기(universal testing machine)를 사용하여 인장 실험을 진행하였다.

각 조건에 따른 응력-변형률 곡선을 Figure 7에 제시하였다. 출력 방향이 평행한 시편(Figure 7a)의 경우, 변형률 이 작은 구간에서는 50%와 30% 충전 밀도 조건이 동일한 응력-변형률 곡선을 보이지만 변형률이 커짐에 따라 50% 채움 비율 조건에서 30% 충전 밀도 조건보다 뚜렷하게 높은 인장 강도를 보였다. 50% 충전 밀도 조건에서 최대 응력은 약 22.5 kPa에 도달했으며 30% 충전 밀도는 약 16 kPa 정도에 머물렀다.

Figure 7.
Comparison of the tensile strength of Dog-bone specimens according to printing orientation and infill density in 3D printing.

기울어진 출력 방향(Figure 7b)에서는 평행한 출력 방향 시편에 비해 두 가지 충전 밀도 조건에서 모두 인장 강도가 감소한 것을 확인하였다. 50% 충전 밀도 조건에서 최대 응력은 약 17.5 kPa, 30% 충전 밀도 조건에서는 약 12 kPa로 평행 조건에 비해 낮은 값을 보였다. 그러나 기울어진 출력 방향 조건에서 최대 변형률은 23% 정도로 평행한 출력 방향 조건에서의 최대 변형률 17%보다 35.3% 큰 것을 확인하였다. 이러한 결과는 출력 방향과 인장 하중 방향의 정렬 정도가 인장 강도 및 변형률에 큰 영향을 미친다는 것을 보여준다.

기울어진 출력 방향에서 인장 강도가 낮아진 것은 프린팅 된 섬유 방향과 인장력 방향이 어긋남에 따라 층간 미끄러짐(interlayer slippage) 또는 응력 전달 효율 저하가 발생했기 때문으로 판단된다[27]. 특히 충전 밀도가 낮을수록 이러한 현상이 더욱 두드러질 수 있다. 충전 밀도가 높을수록 재료 내 연속성이 증가하고 내부 지지 구조가 강화되어 인장 강도가 향상된 것을 확인할 수 있다.

Figure 7 하단의 사진은 30% 충전 밀도 비율 조건에서 두가지 출력 방향에 따른 실제 출력물의 사진을 보여준다. 사진으로부터 3D 프린팅 덕본 시편의 외형과 내부 채움 구조를 시각적으로 확인할 수 있으며 출력 방향에 따른 차이를 명확히 보여주고 있다. 이와 같은 결과는 출력 방향 및 충전 밀도가 3D 프린팅 된 하이드로겔 구조물의 기계적 거동에 매우 중요한 변수임을 의미한다.

3.4. 다양한 3D 프린팅 출력물

하이드로겔의 출력 적합성을 평가하기 위해 다양한 2D 및 3D 구조물을 제작하였다. Figure 8과 같이 출력된 구조물은 복잡한 문양 형태, 별 모양의 평면 구조, 수직으로 적층된 정육면체 형태 3가지이다. 이와 같은 다양한 형상은 하이드로겔이 출력 중에 형상을 안정적으로 유지할 수 있는지를 검증하기 위해 제작하였다.

Figure 8.
Comparison of the tensile strength of Dog-bone specimens according to printing orientation and infill density in 3D printing.

중앙의 별 모양 구조물은 날카로운 각과 모서리 형상 구현 능력을 평가하기 위한 것이다. 출력된 형상에서는 인접한 라인 간의 붕괴나 합쳐짐 현상이 나타나지 않았으며, 이는 하이드로겔이 뚜렷한 윤곽과 형태 유지가 필요한 출력 조건에서도 안정적으로 작동함을 보여준다.

우측 구조물은 수직으로 적층된 3차원 큐브 구조로 복수의 층을 쌓아 올린 형상이다. 출력 결과는 하이드로겔이 수직 방향으로 적층하였음에도 구조 붕괴 없이 형태를 유지하였고 이는 충분한 인장 강도 및 겔화 특성 덕분으로 판단된다. 층간 접합부의 이음매가 매끄럽고, 구조적 붕괴나 처짐 현상이 나타나지 않아 적층 안정성 및 층간 접착력이 우수함을 알 수 있다.

이러한 결과들은 본 하이드로겔이 단순한 평면 구조뿐만 아니라, 형상이 복잡하거나 종횡비가 큰 고 정밀 3D 구조물 출력에도 적합함을 보여준다. 따라서 해당 하이드로겔은 조직 지지체, 오가노이드 플랫폼, 맞춤형 생체의료 구조물 등과 같은 정밀한 형상과 출력 재현성이 요구되는 다양한 바이오 제작 응용에 활용될 수 있다.

4. 결 론

본 연구에서는 κ-카라기난과 Laponite-XLS를 복합한 3D 프린팅용 하이드로겔의 유변학적 특성 및 3D 프린팅 공정 조건에 따른 출력 특성과 기계적 물성을 정량적으로 분석하였다. 하이드로겔은 전단 박화(shear-thinning) 특성과 함께 온도 변화에 따른 점도 조절이 가능하여 프린팅 중에는 유동성을 확보하고 프린팅 후에는 자가 지지력을 갖는 구조를 안정적으로 형성할 수 있는 장점을 가진다.

본 연구에서는 하이드로겔의 안정적 이송과 정밀한 적층 을 위하여 온도 조절이 가능한 압력식 프린팅 장치를 설계 및 제작하였다. 이를 통해 프린팅 조건(노즐 온도, 압력, 노 즐 이동 속도 등)에 따른 출력 품질 맵을 확보하였으며 최 적의 출력 조건에서 안정적인 출력이 가능함을 확인하였다.

출력된 구조물의 기계적 특성을 평가하기 위해 다양한 출력 방향(parallel, tilted) 및 충전 밀도(30%, 50%) 조건에서 덕본 형상의 시편을 제작하고 인장 실험을 수행하였다. 그 결과, 출력 방향이 인장 하중과 정렬되고 채움 비율이 높을수록 인장 강도가 유의하게 증가하는 경향을 보였다. 이는 프린팅 조건이 구조물의 내부 연결성과 적층 안정성에 큰 영향을 미친다는 것을 나타낸다.

또한, 본 연구에서는 다양한 형상(복잡한 2D 패턴, 날카로운 모서리를 갖는 구조, 수직 적층 3D 큐브 등)의 출력 실험을 통해 개발된 하이드로겔의 구조 형성 능력과 재현성을 입증하였다. 이와 같은 결과는 본 하이드로겔이 단순한 구조물뿐만 아니라 복잡한 생체 지지체, 조직 모사 구조, 커스터마이징된 바이오 디바이스 등 다양한 바이오프 린팅 응용에 활용 가능함을 보여준다.

결론적으로, 본 연구는 κ-카라기난/Laponite-XLS 복합 하 이드로겔이 3D 프린팅 기술과 결합하여 구조적 정밀도, 유 변학적 제어성, 기계적 안정성을 고루 만족시키는 출력 재 료로서 충분한 가능성을 지님을 확인하였다. 향후 본 시스 템은 조직 공학, 재생의학, 약물 전달 시스템 등 다양한 바 이오 제조 분야에서 실질적인 활용이 가능할 것으로 기대된다.

감사의 글

이 논문은 2022학년도 한남대학교 학술연구비 지원에 의하여 연구되었음.

References

  • 1 J. Malda, J. Visser, F. P. W. Melchels, T. J. Kuipers, A. J. G. Bijleveld van Lexmond, and D. W. Hutmacher, "25th Anniversary Article: Engineering Hydrogels for Biofabrication" , Adv. Mater., 2013, 25, 5011−5028.custom:[[[-]]]
  • 2 J. A. Burdick and G. D. Prestwich, "Hyaluronic Acid Hydrogels for Biomedical Applications" , Adv. Mater., 2011, 23, H41−H56.custom:[[[-]]]
  • 3 A. Panwar and L. P . Tan, "Current Status of Bioinks for Micro- Extrusion-Based 3D Bioprinting" , Molecules, 2016, 21, 685.custom:[[[-]]]
  • 4 Y . H. Na, J. M. Hwang, J. W . Chung, and Y . Han, "3D Printing Using Polyampholyte Hydrogel with Reversible Behavior", Polym. Int., 2021, 70, 1486−1494.custom:[[[-]]]
  • 5 F . Zhu, L. Cheng, J. Yin, Z. L. Wu, J. Qian, J. Fu, and Q. Zheng, "3D Printing of Ultratough Polyion Complex Hydrogels" , ACS Appl. Mater. Interfaces, 2016, 8, 31304−31310.custom:[[[-]]]
  • 6 T. J. Hinton, Q. Jallerat, R. N. Palchesko, J. H. Park, M. S. Grodzicki, H. J. Shue, M. H. Ramadan, A. R. Hudson, and A. W. Feinberg, "Three-Dimensional Printing of Complex Biological Structures by Freeform Reversible Embedding of Suspended Hydrogels" , Sci. Adv., 2015, 1, e1500758.custom:[[[-]]]
  • 7 S. A. Wilson, L. M. Cross, C. W. Peak, and A. K. Gaharwar, "Shear-Thinning and Thermo-Reversible Nanoengineered Inks for 3D Bioprinting" , ACS Appl. Mater. Interfaces, 2017, 9, 43449−43458.custom:[[[-]]]
  • 8 J. W . Davern, B. C. Dargaville, S. P . Tarassoli, S. J. Dunlop, D. I. Finkelstein, and P. Martens, " Addition of Laponite to Gelatin Methacryloyl Bioinks Improves the Rheological Properties and Printability to Create Mechanically T ailorable Cell Culture Matrices" , APL Bioeng, 2024, 8, 016101.custom:[[[-]]]
  • 9 Q. Wang, J. L. Mynar, M. Yoshida, E. Lee, M. Lee, K. Okuro, and T. Aida, "High-Water-Content Mouldable Hydrogels by Mixing Clay and a Dendritic Molecular Binder" , Nature, 2010, 463, 339−343.custom:[[[-]]]
  • 10 D. Chimene, K. K. Lennox, R. R. Kaunas, and A. K. Gaharwar, "Advanced Bioinks for 3D Printing: A Materials Science Perspective" , Ann. Biomed. Eng., 2016, 44, 2090−2102.custom:[[[-]]]
  • 11 H. Li, S. Liu, and L. Li, "Rheological Study on 3D Printability of Alginate Hydrogel and Effect of Graphene Oxide", Int. J. Bioprinting, 2016, 2, 65−72.custom:[[[-]]]
  • 12 J. L. Drury and D. J. Mooney, "Hydrogels for Tissue Engineering: Scaffold Design Variables and Applications", Biomaterials, 2003, 24, 4337−4351.custom:[[[-]]]
  • 13 M. Wang, Z. Deng, Y. Guo, and P . Xu, "Designing Functional Hyaluronic Acid-Based Hydrogels for Cartilage Tissue Engineering" , Mater. Today Bio., 2022, 17, 100495.custom:[[[-]]]
  • 14 M. Guvendiren, H. D. Lu, and J. A. Burdick, "Shear-Thinning Hydrogels for Biomedical Applications" , Soft Matter, 2012, 8, 260−272.custom:[[[-]]]
  • 15 C. Loebel, C. B. Rodell, M. H. Chen, and J. A. Burdick, "Shear- Thinning and Self-Healing Hydrogels as Injectable Therapeutics and for 3D-Printing" , Nat. Protoc., 2017, 12, 1521−1541.custom:[[[-]]]
  • 16 S. Liu, W. L. Chan, and L. Li, "Rheological Properties and Scaling Laws of κ-Carrageenan in Aqueous Solution", Macromolecules, 2015, 48, 7649−7657.custom:[[[-]]]
  • 17 I. S. Chronakis, L. Piculell, and J. Borgström, "Rheology of κ- Carrageenan in Mixtures of Sodium and Cesium Iodide: Two Types of Gels" , Carbohydr. Polym., 1996, 31, 215−225.custom:[[[-]]]
  • 18 D. M. C. Marques, J. C. Silva, A. P. Serro, J. M. S. Cabral, P. Sanjuan-Alberte, and F. C. Ferreira, "3D Bioprinting of Novel κ-Carrageenan Bioinks: An Algae-Derived Polysaccharide", Bioengineering, 2022, 9, 109.custom:[[[-]]]
  • 19 L. C. Geonzon, F . B. A. Descallar, L. Du, R. G. Bacabac, and S. Matsukawa, "Gelation Mechanism and Network Structure in Gels of Carrageenans and Their Mixtures Viewed at Different Length Scales—A Review" , Food Hydrocoll., 2020, 108, 106039.custom:[[[-]]]
  • 20 G. Lokhande, J. K. Carrow, T. Thakur, J. R. Xavier, M. Parani, K. J. Bayless, and A. K. Gaharwar, "Nanoengineered Injectable Hydrogels for Wound Healing Application", Acta Biomater., 2018, 70, 35−47.custom:[[[-]]]
  • 21 K. Nishinari and M. Watase, "Effects of Sugars and Polyols on the Gel-sol Transition of Kappa-carrageenan Gels, " Thermochim. Acta, 1992, 206, 149−162.custom:[[[-]]]
  • 22 M. Iijima, T. Hatakeyama, M. Takahashi, and H. Hatakeyama, "Effect of Thermal History on Kappa-carrageenan Hydrogelation by Differential Scanning Calorimetry", Thermochimica Acta, 2007, 452, 53−58.custom:[[[-]]]
  • 23 P . R. Avallone, S. Russo Spena, S. Acierno, M. G. Esposito, A. Sarrica, M. Delmonte, and N. Grizzuti, "Thermorheological Behavior of κ-carrageenan Hydrogels Modified with Xanthan Gum " , Fluids, 2023, 8, 119.custom:[[[-]]]
  • 24 P . Perumal and P . C. Selvin, "Red Algae-derived k-carrageenan- based Proton-conducting Electrolytes for the Wearable Electrical Devices" , J. Solid State Electrochem., 2020, 24, 2249− 2260.custom:[[[-]]]
  • 25 G. R. Mahdavinia, S. Ettehadi, M. Amini, and M. Sabzi, "Synthesis and Characterization of Hydroxypropyl Methylcellulose -g-poly(acrylamide)/LAPONITE ® RD Nanocomposites as Novel Magnetic- and pH-sensitive Carriers for Controlled Drug Release" , RSC Adv., 2015, 5, 44516−44523.custom:[[[-]]]
  • 26 ISO 527-2:2012 Plastics—Determination of Tensile Properties— Part 2: Test Conditions for Moulding and Extrusion Plastics; ISO: Geneva, Switzerland, 2012.custom:[[[-]]]
  • 27 M. R. Ayatollahi, A. Nabavi-Kivi, B. Bahrami, M. Y . Y ahya, and M. R. Khosravani, "The Influence of In-plane Raster Angle on T ensile and Fracture Strengths of 3D-printed PLA Specimens" , Eng. Fract. Mech., 2020, 237, 107225.custom:[[[-]]]

Table 1.

Swelling ratio according to immersion time
Immersion time (minute) 5 10 30 60 120
Swelling ratio (%) 411.7 405.5 414.4 375.1 228.6
Effect of Laponite-XLS concentration and temperature on the viscosity of the prepared hydrogel; (a) effect of Laponite-XLS concentration and (b) effect of temperature.
FT-IR analysis of κ-Carrageenan, Laponite-XLS, and their composite hydrogel.
Schematic diagram of experimental setup using modified 3D printer.
Mapping of printing quality according to nozzle temperature, applied pressure, and printing speed in hydrogel 3D printing; (a) nozzle temperature versus pressure and (b) nozzle speed versus pressure. ●-Printable, ▲-Irregular, X-Non shaped
Comparison of mechanical properties between single and stacked fibers.
Evaluation of uniformity in 3D printed structures: measurement locations and results.
Comparison of the tensile strength of Dog-bone specimens according to printing orientation and infill density in 3D printing.
Comparison of the tensile strength of Dog-bone specimens according to printing orientation and infill density in 3D printing.